精英家教网 > 高中数学 > 题目详情
已知函数f(x)=x3+ax2+bx+c,且知当x=-1时取得极大值7,当x=3时取得极小值,试求函数f(x)的极小值,并求a、b、c的值。

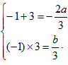
解:f(x)=x3+ax2+bx+c,f′(x)=3x2+2ax+6,
∵x=-1时函数取得极大值,x=3时函数取得极小值,
∴-1,3是方程f′(x)=0的根,即为方程3x2+2ax+b=0 的两个根,
由一元二次方程根与系数的关系有


∴f(x)=x3-3x2-9x+c,
∵x=-1时取得极大值7,
∴(-1)3-3(-1)2-9(-1)+c=7,
∴c=2,
∴函数f(x)的极小值为f(3)=33-3×32-9×3+2=-25。

练习册系列答案
相关习题

科目:高中数学 来源: 题型:

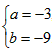
精英家教网已知函数f(x)=Asin(ωx+φ)(x∈R,A>0,ω>0,|φ|<
π
2
)的部分图象如图所示,则f(x)的解析式是(  )
A、f(x)=2sin(πx+
π
6
)(x∈R)
B、f(x)=2sin(2πx+
π
6
)(x∈R)
C、f(x)=2sin(πx+
π
3
)(x∈R)
D、f(x)=2sin(2πx+
π
3
)(x∈R)

查看答案和解析>>

科目:高中数学 来源: 题型:

(2012•深圳一模)已知函数f(x)=
1
3
x3+bx2+cx+d
,设曲线y=f(x)在与x轴交点处的切线为y=4x-12,f′(x)为f(x)的导函数,且满足f′(2-x)=f′(x).
(1)求f(x);
(2)设g(x)=x
f′(x)
 , m>0
,求函数g(x)在[0,m]上的最大值;
(3)设h(x)=lnf′(x),若对一切x∈[0,1],不等式h(x+1-t)<h(2x+2)恒成立,求实数t的取值范围.

查看答案和解析>>

科目:高中数学 来源: 题型:

(2011•上海模拟)已知函数f(x)=(
x
a
-1)2+(
b
x
-1)2,x∈(0,+∞)
,其中0<a<b.
(1)当a=1,b=2时,求f(x)的最小值;
(2)若f(a)≥2m-1对任意0<a<b恒成立,求实数m的取值范围;
(3)设k、c>0,当a=k2,b=(k+c)2时,记f(x)=f1(x);当a=(k+c)2,b=(k+2c)2时,记f(x)=f2(x).
求证:f1(x)+f2(x)>
4c2
k(k+c)

查看答案和解析>>

科目:高中数学 来源:上海模拟 题型:解答题

已知函数f(x)=(
x
a
-1)2+(
b
x
-1)2,x∈(0,+∞)
,其中0<a<b.
(1)当a=1,b=2时,求f(x)的最小值;
(2)若f(a)≥2m-1对任意0<a<b恒成立,求实数m的取值范围;
(3)设k、c>0,当a=k2,b=(k+c)2时,记f(x)=f1(x);当a=(k+c)2,b=(k+2c)2时,记f(x)=f2(x).
求证:f1(x)+f2(x)>
4c2
k(k+c)

查看答案和解析>>

科目:高中数学 来源:深圳一模 题型:解答题

已知函数f(x)=
1
3
x3+bx2+cx+d
,设曲线y=f(x)在与x轴交点处的切线为y=4x-12,f′(x)为f(x)的导函数,且满足f′(2-x)=f′(x).
(1)求f(x);
(2)设g(x)=x
f′(x)
 , m>0
,求函数g(x)在[0,m]上的最大值;
(3)设h(x)=lnf′(x),若对一切x∈[0,1],不等式h(x+1-t)<h(2x+2)恒成立,求实数t的取值范围.

查看答案和解析>>

同步练习册答案