精英家教网 > 高中数学 > 题目详情

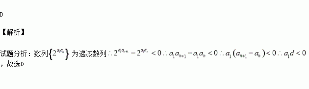
等差数列的首项为,公差为d,若数列为递减数列,则( )

A. B. C. D.

练习册系列答案
相关习题

科目:高中数学 来源:2015-2016学年甘肃省定西市高一上学期第一次月考数学试卷(解析版) 题型:选择题

设全集U={0,1,2,3,4},集合A={0,1,2,3},B={2,3,4},则 等于( )

A.{0} B.{0,1} C.{0,1,4} D.{0,1,2,3,4}

查看答案和解析>>

科目:高中数学 来源:2015-2016学年江苏省泰州市姜堰区高一上学期期中考试数学试卷(解析版) 题型:填空题

已知定义在上的函数是满足,在,且,则使取值范围是___________.

查看答案和解析>>

科目:高中数学 来源:2015-2016学年广东省普宁市高一上学期期中考试数学试卷(解析版) 题型:选择题

若指数函数上是增函数, 则实数的取值范围是( )

A. B. C. D.

查看答案和解析>>

科目:高中数学 来源:2015-2016学年福建厦门双十中学高二上期中文科数学试卷(解析版) 题型:选择题

若设变量x,y满足约束条件,则目标函数的最大值为( ).

A.10 B.11 C.12 D.13

查看答案和解析>>

科目:高中数学 来源:2014-2015年河北保定一中高二下第一次段考理数学试卷(解析版) 题型:解答题

(本小题满分10分)已知函数f(x)=ax3+cx+d(a≠0)是R上的奇函数,当x=1时,f(x)取得极值-2.

(1)求函数f(x)的解析式;

(2)求函数f(x)的单调区间和极大值;

查看答案和解析>>

科目:高中数学 来源:2016届辽宁省大连市高三10月月考文科数学试卷(解析版) 题型:填空题

关于的不等式的解集为________.

查看答案和解析>>

科目:高中数学 来源:2016届重庆市高三上学期期中文科数学试卷(解析版) 题型:解答题

(本题满分12分)已知函数

(1)求的单调区间和极值;

(2)求上的最小值;

(3)设+,若对恒成立,求实数的取值范围.

查看答案和解析>>

科目:高中数学 来源:2016届浙江省高三期中理科数学试卷(解析版) 题型:选择题

.若的图象经过两点,且存在整数n,使得成立,则 ( )

A.

B.

C.

D.

查看答案和解析>>

同步练习册答案