精英家教网 > 高中数学 > 题目详情

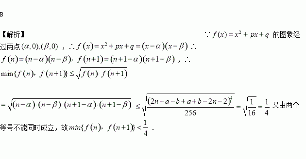
.若的图象经过两点,且存在整数n,使得成立,则 ( )

A.

B.

C.

D.

练习册系列答案
相关习题

科目:高中数学 来源:2015-2016学年福建厦门双十中学高二上期中理科数学试卷(解析版) 题型:选择题

等差数列的首项为,公差为d,若数列为递减数列,则( )

A. B. C. D.

查看答案和解析>>

科目:高中数学 来源:2015-2016年浙江宁波效实中学高二1,2班上期中数学卷(解析版) 题型:解答题

盒中共有9个球,其中4个红球,3个黄球,2个绿球,这些球除颜色外全相同.

(1)从盒中一次取2个球,求这2个球颜色相同的概率;

(2)每次随机取一球,取后放回,共取了3次,求三次取到球颜色不全相同的概率;

(3)从盒中一次取4个球,其中红、黄、绿个数分别为,随机变量X表示中最大与最小数的差,求X的分布列.

查看答案和解析>>

科目:高中数学 来源:2015-2016年河北省高二上学期期中数学试卷(解析版) 题型:填空题

矩形ABCD中,,E,F分别是AB,CD的中点,以EF为旋转轴,将空间旋转,则四面体的体积为 .

查看答案和解析>>

科目:高中数学 来源:2016届浙江省高三期中文科数学试卷(解析版) 题型:选择题

关于x的方程有四个不同的解,则实数a的值可能是( )

A. B. C. 1 D.2

查看答案和解析>>

科目:高中数学 来源:2016届江西省高三上学期期中文科数学试卷(解析版) 题型:选择题

函数的图像经过怎样的平移变换得到函数的图像( ).

A.向左平移个单位长度

B.向左平移个单位长度

C.向右平移个单位长度

D.向右平移个单位长度

查看答案和解析>>

科目:高中数学 来源:2016届江苏省高三周练数学试卷(解析版) 题型:解答题

已知

(1)求的单调区间;

(2)令,则时有两个不同的根,求的取值范围;

(3)存在,使成立,求的取值范围.

查看答案和解析>>

科目:高中数学 来源:2016届黑龙江省高三上学期期中理科数学试卷(解析版) 题型:解答题

(本小题12分)如图,ABCD是边长为3的正方形,DE⊥平面ABCD,AF∥DE,DE=3AF,BE与平面ABCD所成角为60°.

(1)求证:AC⊥平面BDE;

(2)求二面角F?BE?D的余弦值.

查看答案和解析>>

科目:高中数学 来源:2015-2016学年河北省高一上学期一调数学试卷(解析版) 题型:选择题

已知函数,若对于任意实数至少有一个为正数,则实数的取值范围是 ( )

A. B. C. D.

查看答案和解析>>

同步练习册答案