精英家教网 > 高中数学 > 题目详情

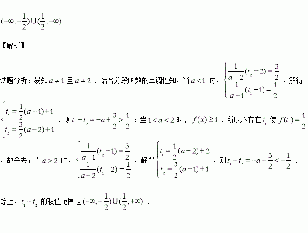
设函数若存在使得,则的取值范围是

练习册系列答案
相关习题

科目:高中数学 来源:2016届河北省高三上学期四调理科数学试卷(解析版) 题型:填空题

已知数列对于任意,有,若,则

查看答案和解析>>

科目:高中数学 来源:2016届湖南省株洲市高三上学期期中文科数学试卷(解析版) 题型:解答题

已知等差数列的首项,公差,且的第二项、第五项、第十四项成等比数列。

(1)求数列的通项公式;

(2)设,记为数列的前n项和,求并说明是否存在最大的整数t,使得对任意的n均有总成立?若存在,求出t;若不存在,请说明理由.

查看答案和解析>>

科目:高中数学 来源:2016届湖北武汉华中师大一附等高三上第一次联考文数学卷(解析版) 题型:选择题

已知集合,则( )

A. B. C. D.

查看答案和解析>>

科目:高中数学 来源:2016届福建省高三上学期期中考理科数学试卷(解析版) 题型:解答题

已知函数),其图像过点

(Ⅰ)求的值;

(Ⅱ)将函数图像上各点向左平移个单位长度,得到函数的图像,求函数上的单调递增区间.

查看答案和解析>>

科目:高中数学 来源:2015-2016学年山西省太原市高二12月月考数学试卷(解析版) 题型:解答题

:实数满足,其中,命题:实数满足

(1)若,且为真,求实数的取值范围;

(2)若的必要不充分条件,求实数的取值范围.

查看答案和解析>>

科目:高中数学 来源:2015-2016学年湖南师大附中高二上学期期中文科数学试卷(解析版) 题型:选择题

下列结论中正确的是( )

A.当时,

B.当时,

C.当时,的最小值是2

D.当时, 无最大值

查看答案和解析>>

科目:高中数学 来源:2014-2015学年贵州省高二上学期半期考试文科数学试卷(解析版) 题型:选择题

在如图所示的“茎叶图”表示的数据中,众数和中位数分别 ( ).

A.23与26 B.31与26

C.24与30 D.26与30

查看答案和解析>>

科目:高中数学 来源:2016届福建省高三上学期半期考试文科数学试卷(解析版) 题型:解答题

已知函数,e为自然对数的底数.

(Ⅰ)若过点A(2,f(2))的切线斜率为2,求实数a的值;

(Ⅱ)当x>0时,求证:

(Ⅲ)在区间(1,e)上恒成立,求实数a的取值范围.

查看答案和解析>>

同步练习册答案