已知
为坐标原点,
,
(
,
是常数),若
(1)求
关于
的函数关系式
;
(2)若
的最大值为
,求
的值;
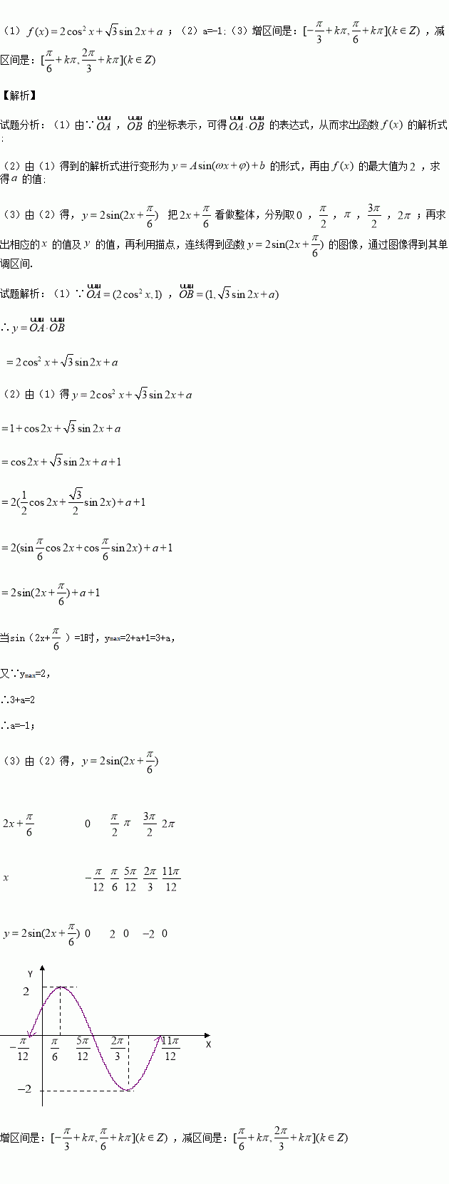
(3)利用(2)的结论,用“五点法”作出函数
在长度为一个周期的闭区间上的简图,并指出其单调区间。
科目:高中数学 来源:2015-2016学年贵州遵义航天高中高二3月考理科数学试卷(解析版) 题型:解答题
已知
为自变量
(Ⅰ)函数
分别在
和
处取得极小值和极大值,求
.
(Ⅱ)若
且
,
在
上是单调函数,求
的取值范围
查看答案和解析>>
科目:高中数学 来源:2016届河南省洛阳市高三下学期第二次模拟文科数学试卷(解析版) 题型:选择题
已知函数①
②
,③
,④
的部分图象如下,但顺序被打乱,则按照图象从左到右的顺序,对应的函数序号正确的一组是( )
![]()
A.①④②③ B.①④③② C.④①②③ D.③④②①
查看答案和解析>>
科目:高中数学 来源:2016届河南省洛阳市高三下学期第二次模拟理科数学试卷(解析版) 题型:选择题
设
为抛物线
的焦点,
为该抛物线上不同的三点,
,
为坐标原点,且
的面积分别为
,则
( )
A.2 B.3 C.6 D.9
查看答案和解析>>
科目:高中数学 来源:2016届河南省洛阳市高三下学期第二次模拟理科数学试卷(解析版) 题型:选择题
已知函数①
②
,③
,④
的部分图象如下,但顺序被打乱,则按照图象从左到右的顺序,对应的函数序号正确的一组是( )
![]()
①④②③
①④③②
④①②③
③④②①
查看答案和解析>>
科目:高中数学 来源:2015-2016学年广东省汕头市高一下期中数学试卷(解析版) 题型:填空题
若△ABC的内角满足sin A+
sin B=2sin C,则cos C的最小值是________.
查看答案和解析>>
科目:高中数学 来源:2015-2016学年广东省汕头市高一下期中数学试卷(解析版) 题型:选择题
已知等比数列{an}中,,
为方程x2-10x+16=0的两根,则
的值为( )
A.32 B.64 C.256 D.±64
查看答案和解析>>
科目:高中数学 来源:2016届江苏盐城三模数学试卷(解析版) 题型:填空题
在平面直角坐标系
中,已知椭圆
的左顶点为
,右焦点为
,
为椭圆
上两点,圆
.
(1)若
轴,且满足直线
与圆
相切,求圆
的方程;
(2)若圆
的半径为
,点
满足
,求直线
被圆
截得弦长的最大值.
查看答案和解析>>
科目:高中数学 来源:2016届江苏南通市高三下学期第三次调研考试数学试卷(解析版) 题型:填空题
如图是甲、乙两位同学在5次数学测试中得分的茎叶图,则成绩较稳定(方差较小)的那一位同学的方差为 .
![]()
查看答案和解析>>
湖北省互联网违法和不良信息举报平台 | 网上有害信息举报专区 | 电信诈骗举报专区 | 涉历史虚无主义有害信息举报专区 | 涉企侵权举报专区
违法和不良信息举报电话:027-86699610 举报邮箱:58377363@163.com