精英家教网 > 高中数学 > 题目详情

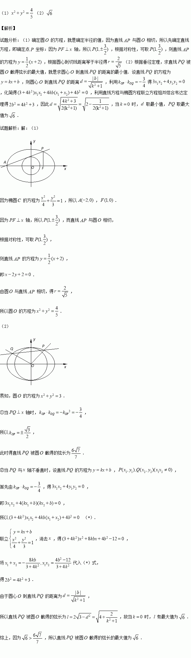
在平面直角坐标系中,已知椭圆的左顶点为,右焦点为为椭圆上两点,圆.

(1)若轴,且满足直线与圆相切,求圆的方程;

(2)若圆的半径为,点满足,求直线被圆截得弦长的最大值.

练习册系列答案
相关习题

科目:高中数学 来源:2016届河南省洛阳市高三下学期第二次模拟文科数学试卷(解析版) 题型:解答题

已知数列的前项和为,且满足.

(1)证明数列为等差数列; (2)求.

查看答案和解析>>

科目:高中数学 来源:2015-2016学年广东省汕头市高一下期中数学试卷(解析版) 题型:解答题

已知为坐标原点,, 是常数),若

(1)求关于的函数关系式

(2)若的最大值为,求的值;

(3)利用(2)的结论,用“五点法”作出函数在长度为一个周期的闭区间上的简图,并指出其单调区间。

查看答案和解析>>

科目:高中数学 来源:2015-2016学年广东省汕头市高一下期中数学试卷(解析版) 题型:选择题

设数列是等差数列,且的前n项和,则( )

A. B. C. D.S9<S10

查看答案和解析>>

科目:高中数学 来源:2016届江苏盐城三模数学试卷(解析版) 题型:解答题

(选修4—4:坐标系与参数方程)

已知直线的参数方程为,曲线的极坐标方程为,试判断直线与曲线的位置关系.

查看答案和解析>>

科目:高中数学 来源:2016届江苏盐城三模数学试卷(解析版) 题型:填空题

若数列满足:对任意的,只有有限个正整数使得成立,记这样的的个数为,则得到一个新数列.例如,若数列,则数列. 现已知数列是等比数列,且,则数列中满足的正整数的个数为 .

查看答案和解析>>

科目:高中数学 来源:2016届江苏盐城三模数学试卷(解析版) 题型:填空题

以双曲线的右焦点为圆心,为半径的圆恰好与双曲线的两条渐近线相切,则该双曲线的离心率为 .

查看答案和解析>>

科目:高中数学 来源:2016届江苏南通市高三下学期第三次调研考试数学试卷(解析版) 题型:解答题

已知是锐角三角形,向量,且.

(1)求的值;

(2)若,求的长.

查看答案和解析>>

科目:高中数学 来源:2015-2016学年天津市等六校高二上学期期末文科数学卷(解析版) 题型:解答题

已知函数处的切线与直线平行.

(Ⅰ)求实数的值;

(Ⅱ)若关于的方程上恰有两个不相等的实数根,求实数的取值范围;

(Ⅲ)记函数,设是函数的两个极值点,若,且恒成立,求实数的最大值.

查看答案和解析>>

同步练习册答案