精英家教网 > 高中数学 > 题目详情
已知数列{an}的前n项和Sn=n2+n,数列{bn}满足bn+1=2bn-1(n∈N*),且b1=5,
(1)求{an},{bn}的通项公式;
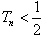
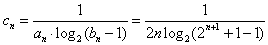
(2)设数列{cn}的前n项和为Tn,且,证明:Tn
(1)解:当n=1时,a1=S1=2,
当n≥2时,
当n=1时,2n=2=a1
所以an=2n(n∈N*);
,得bn+1-1=2(bn-1),
又b1-1=4≠0,
所以{bn-1}是以4为首项,2为公比的等比数列,
所以
所以(n∈N*)。
(2)证明:



所以
练习册系列答案
相关习题

科目:高中数学 来源: 题型:

19、已知数列{an}的前n项和Sn=n2(n∈N*),数列{bn}为等比数列,且满足b1=a1,2b3=b4
(1)求数列{an},{bn}的通项公式;
(2)求数列{anbn}的前n项和.

查看答案和解析>>

科目:高中数学 来源: 题型:

已知数列{an}的前n项和Sn=an2+bn(a、b∈R),且S25=100,则a12+a14等于(  )
A、16B、8C、4D、不确定

查看答案和解析>>

科目:高中数学 来源: 题型:

已知数列{an}的前n项和Sn=n2+n+1,那么它的通项公式为an=
 

查看答案和解析>>

科目:高中数学 来源: 题型:

13、已知数列{an}的前n项和为Sn=3n+a,若{an}为等比数列,则实数a的值为
-1

查看答案和解析>>

科目:高中数学 来源: 题型:

已知数列{an}的前n项和Sn满足Sn+1=kSn+2,又a1=2,a2=1.
(1)求k的值及通项公式an
(2)求Sn

查看答案和解析>>

同步练习册答案