已知等比数列{an}的各项都是正数,前n项和为Sn,且a3=4,S4=s2+12,求:
(1)首项a1及公比q的值;
(2)若bn=nan,求数列{bn}的前n项和Tn.
【答案】
分析:(1)直接利用a
3=4,S
4=s
2+12,以及等比数列的性质,得到关于首项和公比的等式,即可求出首项a
1及公比q的值;
(2)利用(1)的结论,求出数列{b
n}的通项公式,再利用错位相减法即可求出数列{b
n}的前n项和T
n.
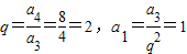
解答:解:(1)由S
4-S
2=12,得a
3+a
4=12,则a
4=8
故

(5分)
(2)由(1)知:数列{a
n}的首项为1,公比为2的等比数列,
a
n=2
n-1,b
n=n•2
n-1,

故数列数列{b
n}的前项和T
n为(n-1)2
n+1(12分)
点评:本题的第二问主要考查错位相减法求数列的和.错位相减法主要应用与一等差数列与一等比数列相乘组成的新数列.