精英家教网 > 高中数学 > 题目详情

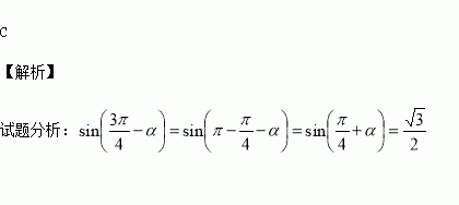
已知,则的值为( )

A. B.— C. D.—

练习册系列答案
相关习题

科目:高中数学 来源:2016届宁夏六盘山高中高三上学期第二次月考理科数学试卷(解析版) 题型:选择题

表示两条不同的直线,表示两个不同的平面,下列命题中真命题是( )

A、若,则

B、若,则

C、若,则

D、若,则

查看答案和解析>>

科目:高中数学 来源:2015-2016学年山西省太原市高二12月月考数学试卷(解析版) 题型:选择题

过椭圆中心的直线与椭圆交于两点,右焦点为,则△的最大面积是( )

A. B. C. D.

查看答案和解析>>

科目:高中数学 来源:2015-2016学年湖南衡阳八中高二上第二次月考理科数学卷(解析版) 题型:选择题

上的两条光滑曲线,则这两条曲线及所围成的平面图形的面积为( )

A. B. C.D.

查看答案和解析>>

科目:高中数学 来源:2014-2015学年贵州省高二上学期半期考试文科数学试卷(解析版) 题型:选择题

已知命题,则( ).

A.

B.

C.

D.

查看答案和解析>>

科目:高中数学 来源:2016届四川省成都市高三11月阶段测试文科数学试卷(解析版) 题型:选择题

命题“”的否定为( )

A.

B.

C.

D.

查看答案和解析>>

科目:高中数学 来源:2016届湖南师范大学附中高三上学期月考三文科数学试卷(解析版) 题型:解答题

已知抛物线的焦点为,直线轴的交点为,与抛物线的交点为,且.已知椭圆的右焦点与抛物线的焦点重合,且离心率为

(1)求抛物线和椭圆的方程;

(2)若过椭圆的右焦点的直线与椭圆交于两点,求三角形为坐标原点)的面积的最大值.

查看答案和解析>>

科目:高中数学 来源:2016届甘肃省高三12月月考文科数学试卷(解析版) 题型:选择题

已知一个几何体的三视图是三个全等的边长为1的正方形 (如图所示),则它的体积为( )

A. B. C. D.

查看答案和解析>>

科目:高中数学 来源:2016届河北省高三上学期期中数学试卷(解析版) 题型:选择题

已知函数,其中,存在,使得 成立,则实数的值为

A. B. C. D.1

查看答案和解析>>

同步练习册答案