精英家教网 > 高中数学 > 题目详情

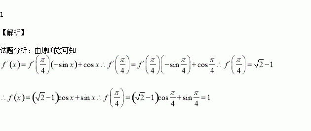
已知函数f(x)=f′()cosx+sinx,则f()的值为

练习册系列答案
相关习题

科目:高中数学 来源:2015-2016学年浙江省高一下学期期中数学试卷(解析版) 题型:解答题

已知不等式 .

(Ⅰ)若不等式对于任意实数恒成立,求实数的取值范围;

(Ⅱ)若存在实数使得该不等式成立,求实数的取值范围.

查看答案和解析>>

科目:高中数学 来源:2015-2016学年湖北省黄石市高二下期中文科数学试卷(解析版) 题型:解答题

已知椭圆:过点A(2,0),离心率,斜率为 直线过点M(0,2),与椭圆C交于G,H两点(G在M,H之间),与轴交于点B.

(Ⅰ)求椭圆C的标准方程;

(Ⅱ)P为轴上不同于点B的一点,Q为线段GH的中点,设△HPG的面积为面积为面积为,求的取值范围.

查看答案和解析>>

科目:高中数学 来源:2015-2016学年湖北省黄石市高二下期中文科数学试卷(解析版) 题型:选择题

执行如图所示的程序框图,如果输入P=153,Q=63, 则输出的P的值是( )

A.2 B.3 C.9 D.27

查看答案和解析>>

科目:高中数学 来源:2015-2016学年湖北省黄石市高二下期中理科数学试卷(解析版) 题型:解答题

如图,在直三棱柱ABC﹣A1B1C1中,底面△ABC是直角三角形,AB=AC=1,AA1=2,点P是棱BB1上一点,满足(0≤λ≤1).

(1)若,求直线PC与平面A1BC所成角的正弦值;

(2)若二面角P﹣A1C﹣B的正弦值为,求λ的值.

查看答案和解析>>

科目:高中数学 来源:2015-2016学年湖北省黄石市高二下期中理科数学试卷(解析版) 题型:选择题

某几何体的三视图及其尺寸如图所示,则该几何体的各侧面中最大的侧面的面积为( )

A.4 B.8 C.2 D.2

查看答案和解析>>

科目:高中数学 来源:2015-2016学年湖北省黄石市高二下期中理科数学试卷(解析版) 题型:选择题

设集合,则( )

A. B. C. D.

查看答案和解析>>

科目:高中数学 来源:2015-2016学年湖北省襄阳市四校高一下学期期中联考数学试卷(解析版) 题型:选择题

已知等比数列的公比为正数,且,则=( )

A. B. C. D.

查看答案和解析>>

科目:高中数学 来源:2015-2016学年广东省高一下第一次月考文科数学试卷(解析版) 题型:选择题

一组数据的平均数是2.8,方差是3.6,若将这组数据中的每一个数据都加上60,得到一组新数据,则所得新数据的平均数和方差分别是( )

A.57.2,3.6 B.57.2,56.4 C.62.8,63.6 D.62.8,3.6

查看答案和解析>>

同步练习册答案