精英家教网 > 高中数学 > 题目详情

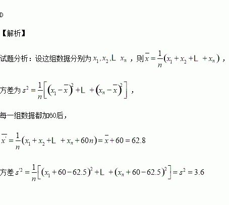
一组数据的平均数是2.8,方差是3.6,若将这组数据中的每一个数据都加上60,得到一组新数据,则所得新数据的平均数和方差分别是( )

A.57.2,3.6 B.57.2,56.4 C.62.8,63.6 D.62.8,3.6

练习册系列答案
相关习题

科目:高中数学 来源:2015-2016学年湖北省黄石市高二下期中理科数学试卷(解析版) 题型:解答题

已知函数f(x)=f′()cosx+sinx,则f()的值为

查看答案和解析>>

科目:高中数学 来源:2015-2016学年河南省高一下期中数学试卷(解析版) 题型:解答题

设a,b,c分别是△ABC的三个内角A、B、C所对的边,S是△ABC的面积,已知a=4,b=5,S=5

(1)求角C;

(2)求c边的长度.

查看答案和解析>>

科目:高中数学 来源:2015-2016学年广东省高一下第一次月考文科数学试卷(解析版) 题型:解答题

已知圆C:.

(1)若圆C的切线在x轴和y轴上的截距相等,且截距不为零,求此切线的方程;

(2)从圆C外一点P向该圆引一条切线,切点为M,O为坐标原点,且有,求使得取得最小值的点P的坐标

查看答案和解析>>

科目:高中数学 来源:2015-2016学年广东省高一下第一次月考文科数学试卷(解析版) 题型:填空题

从等腰直角的斜边BC上任取一点D,则为锐角三角形的概率为_________.

查看答案和解析>>

科目:高中数学 来源:2015-2016学年广东省高一下第一次月考文科数学试卷(解析版) 题型:选择题

从装有5个红球和3个白球的口袋内任取3个球,那么互斥而不对立的事件是( )

A.至少有一个红球与都是红球 B.至少有一个红球与都是白球

C.至少有一个红球与至少有一个白球 D.恰有一个红球与恰有二个红球

查看答案和解析>>

科目:高中数学 来源:2016届湖南师大附中高三下学期高考模拟三文科数学试卷(解析版) 题型:解答题

选修4-1:几何证明选讲

如图,已知为圆的一条直径,以端点为圆心的圆交直线两点,交圆两点,过点作垂直于的直线,交直线点.

(1)求证:四点共圆;

(2)若,求外接圆的半径.

查看答案和解析>>

科目:高中数学 来源:2016届湖南师大附中高三下学期高考模拟三文科数学试卷(解析版) 题型:选择题

已知点的可行域是如图阴影部分(含边界),若目标函数取得最小值的最优解有无数个,则的取值为( )

A.1 B.2 C.6 D.8

查看答案和解析>>

科目:高中数学 来源:2016届辽宁省锦州市高三下学期质量检测二理科数学试卷(解析版) 题型:选择题

不等式的解集为,且,则的取值范围是( )

A. B. C. D.

查看答案和解析>>

同步练习册答案