精英家教网 > 高中数学 > 题目详情
已知向量b=(2cosx,sinx),定义f(x)=a·b-
(Ⅰ)求函数y=f(x),x∈R的单调递减区间;
(Ⅱ)若函数为偶函数,求θ的值。
解:

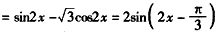
(Ⅰ)令
解得单调递减区间是
(Ⅱ)
根据三角函数图象性质可知在x=0处取最值,



解得:
练习册系列答案
相关习题

科目:高中数学 来源: 题型:

已知向量
a
b
=4
2
,|
a
|=4,
a
b
的夹角为45°,则|
b
|为(  )
A、1
B、2
C、4
D、
3

查看答案和解析>>

科目:高中数学 来源: 题型:

(2012•盐城三模)在△ABC中,角A、B、C的对边分别为a、b、c.已知向量
m
=(b,a-2c)
n
=(cosA-2cosC,cosB)
,且
m
n

(1)求
sinC
sinA
的值;
(2)若a=2,|m|=3
5
,求△ABC的面积S.

查看答案和解析>>

科目:高中数学 来源: 题型:

(2010•南宁二模)已知向量|
a
-
b
|=1,|
a
|=|
b
|=1则(
a
+
b
2的值为(  )

查看答案和解析>>

科目:高中数学 来源:不详 题型:单选题

已知向量
a
b
=4
2
,|
a
|=4,
a
b
的夹角为45°,则|
b
|为(  )
A.1B.2C.4D.
3

查看答案和解析>>

科目:高中数学 来源: 题型:

已知向量a,b,c两两之间的夹角都为60°,其模都为1,则|a-b+2c|等于(    )

A.             B.5             C.6             D.

查看答案和解析>>

同步练习册答案