精英家教网 > 高中数学 > 题目详情

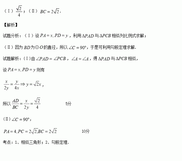
(本小题满分10分)选修4-1:几何证明选讲

如图,四边形是⊙的内接四边形,延长相交于点

.

(Ⅰ)求的值;

(Ⅱ)若为⊙的直径,且,求的长.

练习册系列答案
相关习题

科目:高中数学 来源:2014-2015学年北京市石景山区高三3月统一测试(一模)文科数学试卷(解析版) 题型:选择题

阅读右面的程序框图,若输出的,则输入的的值可能为( )

A. B.

C. D.

查看答案和解析>>

科目:高中数学 来源:2014-2015学年山东省枣庄市高三上学期期末考试文科数学试卷(解析版) 题型:选择题

已知三条直线是异面直线,是异面直线,那么直线的位置关系是( )

A.平行 B.相交

C.异面 D.平行、相交或异面

查看答案和解析>>

科目:高中数学 来源:2014-2015学年山东省枣庄市高三上学期期末考试理科数学试卷(解析版) 题型:选择题

如图所示,设点A是单位圆上的一定点,动点P从点A出发在圆上按逆时针方向旋转一周,点P所旋转过的弧AP的长为,原点O到弦AP的长为d,则函数d=f()的图像大致是

查看答案和解析>>

科目:高中数学 来源:2014-2015学年山东省枣庄市高三上学期期末考试理科数学试卷(解析版) 题型:选择题

已知函数(a、b为常数,)在处取得最小值,则函数是( )

A.奇函数且它的图象关于点对称

B.奇函数且它的图象关于点对称

C.偶函数且它的图象关于点对称

D.偶函数且它的图象关于点对称

查看答案和解析>>

科目:高中数学 来源:2014-2015学年辽宁省朝阳市三校协作体高三下学期第一次模拟考试文科数学试卷(解析版) 题型:解答题

(本小题满分12分)设是锐角三角形,三个内角所对的边分别记为,并且.

(Ⅰ)求角的值;

(Ⅱ)若,求(其中).

查看答案和解析>>

科目:高中数学 来源:2014-2015学年辽宁省朝阳市三校协作体高三下学期第一次模拟考试文科数学试卷(解析版) 题型:选择题

如图,四棱锥中,都是等边三角形,则异面直线所成角的大小为( )

A. B. C. D.

查看答案和解析>>

科目:高中数学 来源:2014-2015学年辽宁省朝阳市三校协作体高三下学期第一次模拟考试理科数学试卷(解析版) 题型:解答题

(本小题满分12分)设是锐角三角形,三个内角所对的边分别记为,并且.

(Ⅰ)求角的值;

(Ⅱ)若,求(其中).

查看答案和解析>>

科目:高中数学 来源:2014-2015学年江西省高三高考适应性测试理科数学试卷(解析版) 题型:解答题

(本小题满分10分)选修;坐标系与参数方程

在直角坐标系以坐标原点为极点轴正半轴为极轴建立极坐标系已知某圆的极坐标方程为:

(Ⅰ)将极坐标方程化为普通方程;

(Ⅱ)若点P(x,y)在该圆上,求x+y的最大值和最小值.

查看答案和解析>>

同步练习册答案