精英家教网 > 高中数学 > 题目详情

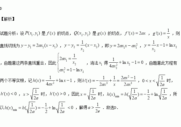
曲线有两条公切线,则的取值范围为( )

A. B. C. D.

练习册系列答案
相关习题

科目:高中数学 来源:2015-2016学年贵州遵义一中高一下第二次联考数学试卷(解析版) 题型:选择题

的图象的交点为,则所在的区间是( )

A. B. C. D.

查看答案和解析>>

科目:高中数学 来源:2016届吉林省高三五模文科数学试卷(解析版) 题型:解答题

中,角的对边分别为,且

(1)判断的形状;

(2)若,点边的中点,,求的面积

查看答案和解析>>

科目:高中数学 来源:2016届吉林省高三五模理科数学试卷(解析版) 题型:解答题

设函数

(1)求不等式的解集;

(2)对任意实数,不等式成立,求实数的取值范围

查看答案和解析>>

科目:高中数学 来源:2016届吉林省高三五模理科数学试卷(解析版) 题型:解答题

已知函数,数列,满足,且

(1)求数列的通项;

(2)若数列的前项和为,且,求

查看答案和解析>>

科目:高中数学 来源:2016届吉林省高三五模理科数学试卷(解析版) 题型:选择题

函数的部分图像如图所示,则( )

A. B. C. D.

查看答案和解析>>

科目:高中数学 来源:2015-2016学年贵州遵义一中高二下联考理科数学试卷(解析版) 题型:解答题

已知关于的函数,

(1)试求函数的单调区间;

(2)若在区间内有极值,试求的取值范围.

查看答案和解析>>

科目:高中数学 来源:2015-2016学年贵州遵义一中高二下联考理科数学试卷(解析版) 题型:选择题

下图是把二进制数 化成十进制数的一个程序框图,判断框内应填入的条件是( )

A. B. C. D.

查看答案和解析>>

科目:高中数学 来源:2016届安徽省高三最后一卷理科数学试卷(解析版) 题型:选择题

已知实数,设方程的两个实根分别为,则下列关系中恒成立的是( )

A. B.

C. D.

查看答案和解析>>

同步练习册答案