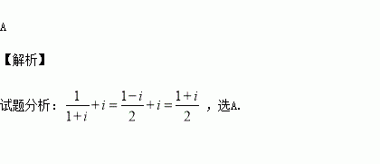
精英家教网 > 高中数学 > 题目详情

在复平面内,复数所对应的点位于( )

(A)第一象限 (B)第二象限 (C)第三象限 (D)第四象限

练习册系列答案
相关习题

科目:高中数学 来源:2016届四川省巴中市普通高中高三10月零诊考试理科数学试卷(解析版) 题型:解答题

(本小题满分12分)如图,四棱锥P-ABCD中,底面ABCD为矩形,PA⊥平面ABCD,PA=AD=1,AB=,点E为PD的中点,点F在棱DC上移动。

(1)当点F为DC的中点时,试判断EF与平面PAC的位置关系,并说明理由;

(2)求证:无论点F在DC的何处,都有PF⊥ AE

(3)求二面角E-AC-D的余弦值。

查看答案和解析>>

科目:高中数学 来源:2015-2016学年湖北武汉二中高二上学期期中理科数学试卷(解析版) 题型:选择题

已知双曲线的渐近线方程为y=±x,若顶点到渐近线的距离为1,则双曲线的方程为( )

A. B.

C. D.

查看答案和解析>>

科目:高中数学 来源:2015-2016学年湖北荆州中学高二上学期期中文科数学试卷(解析版) 题型:选择题

某店一个月的收入和支出总共记录了个数据,其中收入记为正数,支出记为负数.该店用右边的程序框图计算月总收入和月净盈利,那么在图中空白的判断框和处理框中,应分别填入下列四个选项中的( )

A. B.

C. D.

查看答案和解析>>

科目:高中数学 来源:2016届广东省惠州市高三上学期第二次调研考试文科数学试卷(解析版) 题型:解答题

(本小题满分12分)已知椭圆的左、右焦点分别是,其离心率,点为椭圆上的一个动点,面积的最大值为

(Ⅰ)求椭圆的方程;

(Ⅱ)若是椭圆上不重合的四个点,相交于点,求的取值范围.

查看答案和解析>>

科目:高中数学 来源:2016届广东省惠州市高三上学期第二次调研考试理科数学试卷(解析版) 题型:选择题

已知两个非零单位向量的夹角为,则下列结论不正确的是( )

(A)方向上的投影为

(B)

(C)

(D)

查看答案和解析>>

科目:高中数学 来源:2014-2015学年海南省高三下学期大测三理科数学试卷(解析版) 题型:解答题

(本小题满分10分)选修4—1:几何证明选讲

如图,在直径的延长线上任取一点,过点做直线交于点,在上取一点,使,连接,交

(1)求证:四点共圆;

(2)若,求的值.

查看答案和解析>>

科目:高中数学 来源:2015-2016学年江苏省高二上学期第一次学情调研数学试卷(解析版) 题型:填空题

设等比数列的前项和为,若成等差数列,且,其中,则的值为

查看答案和解析>>

科目:高中数学 来源:2014-2015学年河南省高二4月月考文科数学试卷(解析版) 题型:解答题

(12分)设函数

(Ⅰ)若,求的单调区间;

(Ⅱ)若当时,,求的取值范围.

查看答案和解析>>

同步练习册答案