已知数列{an}的前三项依次为-2,2,6,且前n项和Sn是n的不含常数项的二次函数,则a100=( )
A.394
B.392
C.390
D.396
【答案】
分析:根据等差数列的前n项和的表达式得到数列{a
n}是等差数列,结合数列{a
n}的前三项-2,2,6,求出等差数列的通项公式进而得到答案.
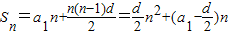
解答:解:由题意可得:等差数列的前n项和的表达式为:

,
所以等差数列的前n项和的表达式是n的不含常数项的二次函数,
因为数列{a
n}的前n项和S
n是n的不含常数项的二次函数,
所以数列{a
n}是等差数列.
又因为数列{a
n}的前三项依次为-2,2,6,
所以数列的首项为-2,公差为4,
所以数列{a
n}的通项公式为:a
n=4n-6,
所以a
100=394.
故选A.
点评:解决此类问题的根据是熟练掌握等差数列的通项公式与前n项和的表达式,并且加以正确的运算.