£¨±¾Ð¡ÌâÂú·Ö12·Ö£©£¨½â´ð¹ý³ÌдÔÚÊÔ¾íÉÏÎÞЧ£©
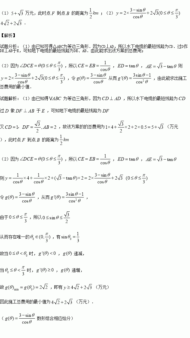
Èçͼ1£¬Ò»Ìõ¿íΪ
µÄÁ½Æ½ÐкӰ¶Óдåׯ
ºÍ·¢µçÕ¾
£¬´åׯ
Óë
£¬
µÄÖ±Ïß¾àÀë¶¼ÊÇ
£¬
ÓëºÓ°¶´¹Ö±£¬´¹×ãΪ
£®ÏÖÒªÆÌÉèµçÀ£¬´Ó·¢µçÕ¾
Ïò´åׯA£¬
¹©µç£®ÒÑÖªÆÌÉèµØÏµçÀ¡¢Ë®ÏµçÀµķÑÓ÷ֱðÊÇ
ÍòÔª/
¡¢4ÍòÔª/
£®
![]()
£¨1£©Èç¹û´åׯ
Óë
Ö®¼äÔÀ´ÆÌÉèÓоɵçÀ £¨Í¼1ÖÐÏß¶Î
Ëùʾ£©£¬Ö»Ðè¶ÔÆä½øÐиÄÔì¼´¿ÉʹÓã®ÒÑÖª¾ÉµçÀµĸÄÔì·ÑÓÃÊÇ
ÍòÔª/
£®ÏÖ¾ö¶¨ÔÚÏß¶Î
ÉÏÕÒµÃÒ»µã
½¨Ò»ÅäµçÕ¾£¬·Ö±ðÏò´åׯ
£¬
¹©µç£¬Ê¹µÃÔÚÍêÕûÀûÓÃ
£¬
Ö®¼ä¾ÉµçÀ½øÐиÄÔìµÄǰÌáÏ£¬²¢ÒªÇóÐÂÆÌÉèµÄˮϵçÀ³¤¶È×î¶Ì£¬ÊÔÇó¸Ã·½°¸×ÜÊ©¹¤·ÑÓõÄ×îСֵ£¬²¢È·¶¨µã
µÄλÖã»
£¨2£©Èçͼ2£¬µã
ÔÚÏß¶Î
ÉÏ£¬ÇÒÆÌÉèµçÀÂÏß·Ϊ
£¬
£¬
£®Èô
£¬ÊÔÓÃ
±íʾ³ö×ÜÊ©¹¤·ÑÓÃ
£¨ÍòÔª£©µÄ½âÎöʽ£¬²¢Çó
µÄ×îСֵ¡£
| Äê¼¶ | ¸ßÖÐ¿Î³Ì | Äê¼¶ | ³õÖÐ¿Î³Ì |
| ¸ßÒ» | ¸ßÒ»Ãâ·Ñ¿Î³ÌÍÆ¼ö£¡ | ³õÒ» | ³õÒ»Ãâ·Ñ¿Î³ÌÍÆ¼ö£¡ |
| ¸ß¶þ | ¸ß¶þÃâ·Ñ¿Î³ÌÍÆ¼ö£¡ | ³õ¶þ | ³õ¶þÃâ·Ñ¿Î³ÌÍÆ¼ö£¡ |
| ¸ßÈý | ¸ßÈýÃâ·Ñ¿Î³ÌÍÆ¼ö£¡ | ³õÈý | ³õÈýÃâ·Ñ¿Î³ÌÍÆ¼ö£¡ |
¿ÆÄ¿£º¸ßÖÐÊýѧ À´Ô´£º2014-2015ѧÄêºÓÄÏÊ¡¸ß¶þ4ÔÂÔ¿¼ÎÄ¿ÆÊýѧÊÔ¾í£¨½âÎö°æ£© ÌâÐÍ£ºÑ¡ÔñÌâ
Èô¹ýµã£¨0£¬¡ª1£©×÷Å×ÎïÏß
µÄÁ½ÌõÇÐÏß»¥Ïà´¹Ö±£¬ÔòaΪ £¨ £©
A£®1 B£®2 C£®
D£®![]()
²é¿´´ð°¸ºÍ½âÎö>>
¿ÆÄ¿£º¸ßÖÐÊýѧ À´Ô´£º2016½ìËÄ´¨Ê¡¸ßÈýÉÏѧÆÚ10Ô¶ο¼ÎÄ¿ÆÊýѧÊÔ¾í£¨½âÎö°æ£© ÌâÐÍ£ºÑ¡ÔñÌâ
ÉèAµ½BµÄº¯Êýf£ºx¡ú y= £¨x-l£©2£¬Èô¼¯ºÏA={0£¬l£¬2£©£¬Ôò¼¯ºÏB²»¿ÉÄÜÊÇ£¨ £©
A¡¢{0£¬1} B¡¢{0£¬1£¬2} C¡¢{0£¬-1£¬2£© D¡¢{0£¬1£¬-1£©
²é¿´´ð°¸ºÍ½âÎö>>
¿ÆÄ¿£º¸ßÖÐÊýѧ À´Ô´£º2016½ìÄþÏÄÒø´¨Ò»ÖиßÈýÉÏѧÆÚµÚÈý´ÎÔ¿¼Àí¿ÆÊýѧÊÔ¾í£¨½âÎö°æ£© ÌâÐÍ£ºÑ¡ÔñÌâ
¶ÔÒ»ÇÐʵÊýx£¬²»µÈʽ
ºã³ÉÁ¢£¬ÔòʵÊýaµÄȡֵ·¶Î§ÊÇ £¨ £©
A£®£¨-
£¬-2£© B£®[-2£¬+
£© C£®[-2,2] D£®[0£¬+
£©
²é¿´´ð°¸ºÍ½âÎö>>
¿ÆÄ¿£º¸ßÖÐÊýѧ À´Ô´£º2016½ìºþ±±Î人»ªÖÐʦ´óµÚÒ»¸½ÖиßÈýÉÏÆÚÖп¼ÊÔÎÄ¿ÆÊýѧÊÔ¾í£¨½âÎö°æ£© ÌâÐÍ£º½â´ðÌâ
£¨±¾Ð¡ÌâÂú·Ö12·Ö£©ÒÑÖªº¯Êý
£®
£¨1£©Èôa<0ÇÒb=2-a£¬ÊÔÌÖÂÛ
µÄµ¥µ÷ÐÔ£»
£¨2£©Èô
£¬×Ü´æÔÚ
ʹµÃ
³ÉÁ¢£¬ÇóʵÊýaµÄȡֵ·¶Î§£®
²é¿´´ð°¸ºÍ½âÎö>>
¿ÆÄ¿£º¸ßÖÐÊýѧ À´Ô´£º2016½ìºþ±±Î人»ªÖÐʦ´óµÚÒ»¸½ÖиßÈýÉÏÆÚÖп¼ÊÔÀí¿ÆÊýѧÊÔ¾í£¨½âÎö°æ£© ÌâÐÍ£ºÑ¡ÔñÌâ
¸´Êý
£¨
ΪÐéÊýµ¥Î»£©ÔÚ¸´Æ½ÃæÄÚ¶ÔÓ¦µãµÄ×ø±êΪ£¨ £©
A£®
B£®
C£®
D£®![]()
²é¿´´ð°¸ºÍ½âÎö>>
¿ÆÄ¿£º¸ßÖÐÊýѧ À´Ô´£º2016½ìºþ±±Ê¡¡¢Ò˲ýÒ»ÖиßÈý10ÔÂÁª¿¼Àí¿ÆÊýѧÊÔ¾í£¨½âÎö°æ£© ÌâÐÍ£º½â´ðÌâ
£¨±¾Ð¡ÌâÂú·Ö12·Ö£©Èçͼ£¬ÓÐÒ»¾ØÐθְå
ȱËðÁËÒ»½Ç£¬±ßÔµÏß
ÉÏÿһµãµ½µã
µÄ¾àÀë¶¼µÈÓÚËüµ½±ß
µÄ¾àÀ룮¹¤ÈËʦ¸µÒª½«È±ËðµÄÒ»½ÇÇиîÏÂÀ´Ê¹Ê£Óಿ·Ö³ÉÒ»¸öÎå±ßÐΣ¬Èô
£¬
£¬ÎªÁË·½±ã£¬Èçͼ½¨Á¢Ö±½Ç×ø±êϵ£¬ÎÊÈçºÎ»ÇиîÏß
¿ÉʹʣÓಿ·ÖÎå±ßÐÎ
µÄÃæ»ý×î´ó£¿
![]()
²é¿´´ð°¸ºÍ½âÎö>>
¿ÆÄ¿£º¸ßÖÐÊýѧ À´Ô´£º2016½ìÕã½Ê¡Èð°²ÊиßÈýÉÏѧÆÚµÚÒ»´ÎËÄУÁª¿¼Àí¿ÆÊýѧÊÔ¾í£¨½âÎö°æ£© ÌâÐÍ£ºÌî¿ÕÌâ
Èôx, yÂú×ãÔ¼ÊøÌõ¼þ
ÔòµãP£¨x, y£©¹¹³ÉµÄÇøÓòµÄÃæ»ýΪ £»
µÄ×î´óֵΪ £®
²é¿´´ð°¸ºÍ½âÎö>>
¿ÆÄ¿£º¸ßÖÐÊýѧ À´Ô´£º2015-2016ѧÄê½ËÕÊ¡¸ßÒ»ÉÏѧÆÚµÚÒ»´ÎÔ¿¼Êýѧ¾í£¨½âÎö°æ£© ÌâÐÍ£ºÌî¿ÕÌâ
![]()
![]()
£¬Çó
µÄȡֵ·¶Î§ £®
²é¿´´ð°¸ºÍ½âÎö>>
¹ú¼ÊѧУÓÅÑ¡ - Á·Ï°²áÁбí - ÊÔÌâÁбí
ºþ±±Ê¡»¥ÁªÍøÎ¥·¨ºÍ²»Á¼ÐÅÏ¢¾Ù±¨Æ½Ì¨ | ÍøÉÏÓк¦ÐÅÏ¢¾Ù±¨×¨Çø | µçÐÅթƾٱ¨×¨Çø | ÉæÀúÊ·ÐéÎÞÖ÷ÒåÓк¦ÐÅÏ¢¾Ù±¨×¨Çø | ÉæÆóÇÖȨ¾Ù±¨×¨Çø
Î¥·¨ºÍ²»Á¼ÐÅÏ¢¾Ù±¨µç»°£º027-86699610 ¾Ù±¨ÓÊÏ䣺58377363@163.com