精英家教网 > 高中数学 > 题目详情

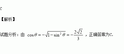
已知,则( )

A. B. C. D.

练习册系列答案
相关习题

科目:高中数学 来源:2016年全国普通高等学校招生统一考试理科数学(北京卷参考版) 题型:选择题

执行如图所示的程序框图,若输入的值为1,则输出的值为( )

A.1 B.2 C.3 D.4

查看答案和解析>>

科目:高中数学 来源:2015-2016学年湖南长郡中学高一下第一次检测数学试卷(解析版) 题型:选择题

下列命题正确的有( )

①若在平面外,它的三条边所在直线分别交,则三点共线;②若三条平行线都与直线相交,则这四条直线共面;③三条直线两两相交,则这三条直线共面.

A.0个 B.1个 C.2个 D.3个

查看答案和解析>>

科目:高中数学 来源:2015-2016学年贵州省高二下期中数学试卷(解析版) 题型:选择题

函数在区间上的最大值是( )

A. B. C.1 D.

查看答案和解析>>

科目:高中数学 来源:2015-2016学年贵州省高二下期中数学试卷(解析版) 题型:选择题

已知向量,且的夹角为,则( )

A.4 B. C. D.8

查看答案和解析>>

科目:高中数学 来源:2015-2016学年贵州省高二下期中数学试卷(解析版) 题型:选择题

已知直线,则直线的倾斜角为( )

A. B. C. D.

查看答案和解析>>

科目:高中数学 来源:2015-2016学年贵州省高二下期中数学试卷(解析版) 题型:选择题

直线与直线平行,且经过坐标原点,则直线的方程是( )

A. B. C. D.

查看答案和解析>>

科目:高中数学 来源:2015-2016学年安徽六安一中高一下周末作业九数学试卷(解析版) 题型:选择题

如图,四边形是正方形,延长,使得.若动点从点出发,沿正方形的边按逆时针方向运动一周回到点,其中,下列判断正确的是( )

A.满足的点必为的中点

B.满足的点有且只有一个

C.满足的最大值为3

D.满足的最小值不存在

查看答案和解析>>

科目:高中数学 来源:2015-2016学年江苏泰州中学高二下第一次质检理科数学卷(解析版) 题型:填空题

某单位有7个连在一起的车位,现有3辆不同型号的车需停放,如果要求剩余的4个车位中恰有3个连在一起,则不同的停放方法有________种.

查看答案和解析>>

同步练习册答案