精英家教网 > 高中数学 > 题目详情

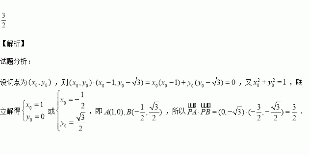
过点作圆的两条切线,切点分别为________.

练习册系列答案
相关习题

科目:高中数学 来源:2016届江苏省高三考前一周双练一数学试卷(解析版) 题型:填空题

下图中,若输入的值为-5,则输出的值为 .

查看答案和解析>>

科目:高中数学 来源:2015-2016学年江苏扬州中学高二下期中文科数学卷(解析版) 题型:填空题

若函数,则=________.

查看答案和解析>>

科目:高中数学 来源:2015-2016学年江苏南通中学高一下期中理科数学卷(解析版) 题型:填空题

三段论推理“①矩形是平行四边形;②正方形是矩形;③正方形是平行四边形”中的小前提是 .(填写序号)

查看答案和解析>>

科目:高中数学 来源:2015-2016学年吉林大学附中高二4月月考文科数学试卷(解析版) 题型:解答题

心理学家分析视觉和空间能力与性别有关,某数学兴趣小组为了验证这个结论,从兴趣小组中按分层抽样的方法抽取名同学(男名,女名),给所有同学几何题和代数题各一题,让各位同学自由选择一道题进行答题,选择情况如下表:单位(人)

(1)能否据此判断有的把握认为视觉和空间能力与性别有关?

(2)经过多次测试后,甲解答一道代数题所用时间在分钟,乙解答一道代数题所用时间在分钟,现甲乙各解同一道代数题,求甲比乙先解答完的概率.

下面临界值表仅供参考:

查看答案和解析>>

科目:高中数学 来源:2015-2016学年吉林大学附中高二4月月考文科数学试卷(解析版) 题型:选择题

已知分别是椭圆的左、右焦点,现以为圆心作一个圆恰好经过椭圆中心并且交椭圆于点,若直线是圆的切线,则椭圆的离心率为(  )

A. B. C. D.

查看答案和解析>>

科目:高中数学 来源:2015-2016学年吉林大学附中高二4月月考文科数学试卷(解析版) 题型:选择题

某校老年、中年和青年教师的人数见下表,采用分层抽样的方法调查教师的身体状况,在抽取的样本中,青年教师有320人,则该样本中的老年教师人数为

A.B.C.D.

查看答案和解析>>

科目:高中数学 来源:2016届山西省高三3月月考文科数学试卷(解析版) 题型:选择题

下列函数中,既是奇函数,又在上递增的是( )

A. B. C. D.

查看答案和解析>>

科目:高中数学 来源:2015-2016学年福建省泉州市四校高二上学期期末考试文科数学试卷(解析版) 题型:填空题

命题的否定 .

查看答案和解析>>

同步练习册答案