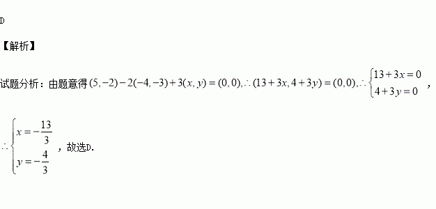
精英家教网 > 高中数学 > 题目详情

已知, ,若,则( )

A. B. C. D.

练习册系列答案
相关习题

科目:高中数学 来源:2016届辽宁沈阳东北育才学校高三八模考试数学(理)试卷(解析版) 题型:选择题

《九章算术》卷5《商功》记载一个问题“今有圆堡瑽,周四丈八尺,高一丈一尺.问积几何?答曰:二千一百一十二尺.术曰:周自相乘,以高乘之,十二而一”.这里所说的圆堡瑽就是圆柱体,它的体积为“周自相乘,以高乘之,十二而一.”就是说:圆堡瑽(圆柱体)的体积为:V=×(底面的圆周长的平方×高).则由此可推得圆周率的取值为( )

A.3 B.3.14 C.3.2 D.3.3

查看答案和解析>>

科目:高中数学 来源:2015-2016学年重庆一中高二下学期期中数学(理)试卷(解析版) 题型:选择题

如下图,已知是圆的两条弦,过作圆的切线与的延长线相交于.过点的平行线与相交于点,,,则的长为( )

A. B. C. D.

查看答案和解析>>

科目:高中数学 来源:2015-2016学年湖南师大附中高一下学期期末数学试卷(解析版) 题型:解答题

已知△ABC的内角A,B,C的对边分别为a,b,c,且有

(1)求角C的大小;

(2)若,求的取值范围.

查看答案和解析>>

科目:高中数学 来源:2015-2016学年湖南师大附中高一下学期期末数学试卷(解析版) 题型:选择题

不等式组表示的平面区域的面积为( )

A.2 B.4 C.6 D.8

查看答案和解析>>

科目:高中数学 来源:2017届江西新余一中高三上学期开学考试数学(文)试卷(解析版) 题型:解答题

选修4-1:几何证明选讲

如图, 是圆的直径, 是圆内接四边形, 于点,且与圆相切于点.

(1)求证:平分

(2)若,求的长.

查看答案和解析>>

科目:高中数学 来源:2017届江西新余一中高三上学期开学考试数学(文)试卷(解析版) 题型:填空题

某几何体的三视图如图所示, 该几何体的体积为

查看答案和解析>>

科目:高中数学 来源:2017届江西新余一中高三上学期开学考试数学(理)试卷(解析版) 题型:解答题

选修4-1:几何证明选讲

如图, 是圆的直径, 是圆内接四边形, 于点,且与圆相切于点.

(1)求证:平分

(2)若,求的长.

查看答案和解析>>

科目:高中数学 来源:2016届云南玉溪市高三第三次教学质检数学(文)试卷(解析版) 题型:选择题

的内角的对边分别为,则( )

A. B. C.2 D.

查看答案和解析>>

同步练习册答案