精英家教网 > 高中数学 > 题目详情

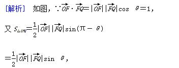
已知△OFQ的面积为S,且=1,若S,则的夹角θ的取值范围是________.


SOFQtan θ

S

∴1<tan θ


练习册系列答案
相关习题

科目:高中数学 来源: 题型:


中,是三角形的三内角,是三内角对应的三边,已知

(1)求角的大小;

 (2) 若,求中周长和面积的最大值

查看答案和解析>>

科目:高中数学 来源: 题型:


在公差不为零的等差数列{an}中,已知a1=1,且a1a2a5依次成等比数列.数列{bn}满足bn+1=2bn-1,且b1=3.

(1)求{an},{bn}的通项公式;

(2)设数列的前n项和为Sn,试比较Sn与1-的大小.

查看答案和解析>>

科目:高中数学 来源: 题型:


如图,在复平面内,复数z1z2对应的向量分别是,则|z1z2|=(  )

A.1  B.  C.2  D.3

查看答案和解析>>

科目:高中数学 来源: 题型:


如图,点ABC是圆O上的三点,线段OC与线段AB交于圆内一点P,若

λ=(  )

A.                                    B. 

C.                                    D.

查看答案和解析>>

科目:高中数学 来源: 题型:


阅读如图所示的程序框图,若输入n的值为6,运行相应程序,则输出的n的值为(  )

A.3  B.5  C.10  D.16

查看答案和解析>>

科目:高中数学 来源: 题型:


如图,在等腰直角三角形ABC中,斜边BC=2,过点ABC的垂线,垂足为A1,过点A1AC的垂线,垂足为A2;过点A2A1C的垂线,垂足为A3;…,依此类推,设BAa1AA1a2A1A2a3,…,A5A6a7,则a7=________.

查看答案和解析>>

科目:高中数学 来源: 题型:


若实数xy满足1+cos2πx,则x2+(y+1)2的最小值为________.

查看答案和解析>>

科目:高中数学 来源: 题型:


 已知命题,那么命题为    (    )

   A.             B.

   C.             D.

查看答案和解析>>

同步练习册答案