精英家教网 > 高中数学 > 题目详情
在△ABC中,角A、B、C所对的边分别为 a、b、c,已知c=2,
(1)若△ABC的面积等于,求a、b的值;
(2)若sinC+sin(B-A) =2sin2A,求△ABC的面积。
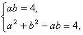
解:(1)余弦定理即已知条件得,a2+b2-ab=4
又因为△ABC的面积等于
所以,得ab=4
联立方程,得解得a=2,b=2。
(2)由题意得sin(B+A)+sin(B-A)=4sinAcosA,
即sinBcosA=2sinAcosA
当cosA=0时,
当cosA≠0时,得sinB=2sinA,由正弦定理得,b=2a
联立方程,得
解得
所以△ABC的面积为
练习册系列答案
相关习题

科目:高中数学 来源: 题型:

在△ABC中,角A、B、C所对的边分别为a,b,c,若b2+c2-a2=
3
bc
,且b=
3
a
,则下列关系一定不成立的是(  )
A、a=c
B、b=c
C、2a=c
D、a2+b2=c2

查看答案和解析>>

科目:高中数学 来源: 题型:

在△ABC中,角A,B,C的对边分别为a,b,c,已知B=60°,cos(B+C)=-
1114

(1)求cosC的值;
(2)若bcosC+acosB=5,求△ABC的面积.

查看答案和解析>>

科目:高中数学 来源: 题型:

在△ABC中,角A,B,C的对边分别是a,b,c,且bsinA=
3
acosB

(1)求角B的大小;
(2)若a=4,c=3,D为BC的中点,求△ABC的面积及AD的长度.

查看答案和解析>>

科目:高中数学 来源: 题型:

在△ABC中,角A、B、C所对的边分别为a、b、c并且满足
b
a
=
sinB
cosA

(1)求∠A的值;
(2)求用角B表示
2
sinB-cosC
,并求它的最大值.

查看答案和解析>>

科目:高中数学 来源: 题型:

在△ABC中,角A,B,C所对边的长分别为a,b,c,且a=
5
,b=3,sinC=2sinA
,则sinA=
 

查看答案和解析>>

同步练习册答案