精英家教网 > 高中数学 > 题目详情

已知数列{an}的前n项和为Sn,满足
(Ⅰ)求数列{an}的通项公式an
(Ⅱ)令,且数列{bn}的前n项和为Tn满足,求n的最小值;
(Ⅲ)若正整数m,r,k成等差数列,且,试探究:am,ar,ak能否成等比数列?证明你的结论.

解:(Ⅰ)∵

,又
∴数列是以为首项,为公比的等比数列,
,    即
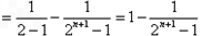
(Ⅱ),    
        
,    

即n的最小值为5;
(Ⅲ)∵
成等比数列,

由已知条件得,∴

∴上式可化为


为奇数,为偶数,
因此不可能成立,    
不可能成等比数列.
练习册系列答案
相关习题

科目:高中数学 来源: 题型:

19、已知数列{an}的前n项和Sn=n2(n∈N*),数列{bn}为等比数列,且满足b1=a1,2b3=b4
(1)求数列{an},{bn}的通项公式;
(2)求数列{anbn}的前n项和.

查看答案和解析>>

科目:高中数学 来源: 题型:

已知数列{an}的前n项和Sn=an2+bn(a、b∈R),且S25=100,则a12+a14等于(  )
A、16B、8C、4D、不确定

查看答案和解析>>

科目:高中数学 来源: 题型:

已知数列{an}的前n项和Sn=n2+n+1,那么它的通项公式为an=
 

查看答案和解析>>

科目:高中数学 来源: 题型:

13、已知数列{an}的前n项和为Sn=3n+a,若{an}为等比数列,则实数a的值为
-1

查看答案和解析>>

科目:高中数学 来源: 题型:

已知数列{an}的前n项和Sn满足Sn+1=kSn+2,又a1=2,a2=1.
(1)求k的值及通项公式an
(2)求Sn

查看答案和解析>>

同步练习册答案