精英家教网 > 高中数学 > 题目详情

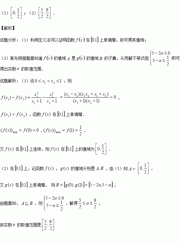
).

(1)求在区间上的值域;

(2)若对于任意,总存在,使得成立,求实数的取值范围.

练习册系列答案
相关习题

科目:高中数学 来源:2015-2016学年辽宁省协作校高一下期末数学试卷(解析版) 题型:选择题

某小组有2名男生和2名女生,从中任选2名同学去参加演讲比赛,在下列选项中,互斥而不对立的两个事件是( )

A.“至少有1名女生”与“都是女生”

B.“至少有1名女生”与“至多有1名女生”

C.“恰有1名女生”与“恰有2名女生”

D.“至少有1名男生”与“都是女生”

查看答案和解析>>

科目:高中数学 来源:2015-2016学年黑龙江肇东一中高一下学期期末考试数学(文)试卷(解析版) 题型:选择题

在梯形中, .将梯形所在的直线旋转一周而形成的曲面所围成的几何体的体积为( )

A. B. C. D.

查看答案和解析>>

科目:高中数学 来源:2015-2016学年广东茂名十七中高二下学期期末数学(文)试卷(解析版) 题型:选择题

若偶函数在区间上是增函数,则( )

A. B.

C. D.

查看答案和解析>>

科目:高中数学 来源:2015-2016学年广东茂名十七中高二下学期期末数学(文)试卷(解析版) 题型:选择题

已知函数的定义域为,对定义域内的任意,都有=,,则的值为( )

A.1 B.2 C.0 D.-1

查看答案和解析>>

科目:高中数学 来源:2016-2017学年安徽黄山屯溪一中高二上学期摸底数学试卷(解析版) 题型:填空题

表示自然数的所有因数中最大的那个奇数,例如:的因数有,则的因数有,则,记数列的前项和为,则______.

查看答案和解析>>

科目:高中数学 来源:2016-2017学年安徽黄山屯溪一中高二上学期摸底数学试卷(解析版) 题型:选择题

已知,则向量与向量的夹角是( )

A. B. C. D.

查看答案和解析>>

科目:高中数学 来源:2015-2016学年江苏清江中学高二下期中数学(理)试卷(解析版) 题型:填空题

如图,在杨辉三角形中,从上往下数共有n(n∈N*)行,在这些数中非1的数字之和是__________.

查看答案和解析>>

科目:高中数学 来源:2017届河南安阳市高三9月调研测试数学(文)试卷(解析版) 题型:填空题

已知函数存在单调递减区间,则实数的取值范围为

查看答案和解析>>

同步练习册答案