精英家教网 > 高中数学 > 题目详情

已知数列{an}的首项为a1=2,前n项和为Sn,且对任意的n∈N*,当n≥2时,an总是3Sn-4与的等差中项.

(1)求数列{an}的通项公式;

(2)设bn=(n+1)anTn是数列{bn}的前n项和,n∈N*,求Tn.

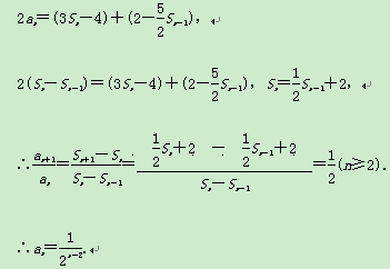
解:(1)依题意:对任意的n∈N*,当n≥2时,有

(2)由(1)知,a,则

.

练习册系列答案
相关习题

科目:高中数学 来源: 题型:

已知数列{an}的首项a1=
1
2
,前n项和Sn=n2an(n≥1).
(1)求数列{an}的通项公式;
(2)设b1=0,bn=
Sn-1
Sn
(n≥2)
,Tn为数列{bn}的前n项和,求证:Tn
n2
n+1

查看答案和解析>>

科目:高中数学 来源: 题型:

已知数列{an}的首项为a1=2,前n项和为Sn,且对任意的n∈N*,当n≥2,时,an总是3Sn-4与2-
52
Sn-1
的等差中项.
(1)求数列{an}的通项公式;
(2)设bn=(n+1)an,Tn是数列{bn}的前n项和,n∈N*,求Tn

查看答案和解析>>

科目:高中数学 来源: 题型:

(2013•江门一模)已知数列{an}的首项a1=1,若?n∈N*,an•an+1=-2,则an=
1,n是正奇数
-2,n是正偶数
1,n是正奇数
-2,n是正偶数

查看答案和解析>>

科目:高中数学 来源: 题型:

已知数列{an}的首项为a1=3,通项an与前n项和sn之间满足2an=Sn•Sn-1(n≥2).
(1)求证:数列{
1Sn
}
是等差数列;
(2)求数列{an}的通项公式;
(3)求数列{an}中的最大项.

查看答案和解析>>

科目:高中数学 来源: 题型:

已知数列{an}的首项a1=
2
3
an+1=
2an
an+1
,n∈N+
(Ⅰ)设bn=
1
an
-1
证明:数列{bn}是等比数列;
(Ⅱ)数列{
n
bn
}的前n项和Sn

查看答案和解析>>

同步练习册答案