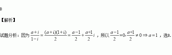
精英家教网 > 高中数学 > 题目详情

已知是实数,是纯虚数,则等于( )

A. B. C. D.

练习册系列答案
相关习题

科目:高中数学 来源:2016届安徽省高三下学期冲刺模拟文科数学A卷(解析版) 题型:解答题

选修4-4:坐标系与参数方程

极坐标系与直角坐标系有相同的长度单位,以原点为极点,以轴正半轴为极轴.已知直线的参数方程为为参数),曲线的极坐标方程为.

(1)求的直角坐标方程;

(2)设直线与曲线交于两点,求弦长.

查看答案和解析>>

科目:高中数学 来源:2016届安徽省高三下学期冲刺模拟理科数学A卷(解析版) 题型:选择题

设实数列分别是等差数列与等比数列,且,则以下结论正确的是( )

A. B. C. D.

查看答案和解析>>

科目:高中数学 来源:2016届安徽省高三下学期冲刺模拟文科数学C卷(解析版) 题型:填空题

已知一组数据的方差为,则数据的方差是

查看答案和解析>>

科目:高中数学 来源:2016届安徽省高三下学期冲刺模拟文科数学C卷(解析版) 题型:选择题

如图,已知,用表示,则( )

A. B.

C. D.

查看答案和解析>>

科目:高中数学 来源:2016届安徽省高三下学期冲刺模拟理科数学C卷(解析版) 题型:解答题

在平面直角坐标系中,是抛物线的焦点,是抛物线上位于第一象限内的任意一点,过三点的圆的圆心为,点到抛物线的准线的距离为.

(1)求抛物线的方程;

(2)当过点的动直线与抛物线相交于不同点时,在线段上取点,满足,证明:点总在某定直线上.

查看答案和解析>>

科目:高中数学 来源:2016届安徽省高三下学期冲刺模拟理科数学C卷(解析版) 题型:填空题

的展开式中,的系数为 .( 用数字填写答案)

查看答案和解析>>

科目:高中数学 来源:2016届重庆市高三下学期模拟文科数学试卷(解析版) 题型:解答题

给定椭圆,称圆为椭圆的“伴随圆”,已知椭圆的离心率为,且经过点.

(1)求实数的值;

(2)若过点的直线与椭圆有且只有一个公共点,且被椭圆的伴随圆所截得的弦长为,求实数的值.

查看答案和解析>>

科目:高中数学 来源:2015-2016学年宁夏六盘山高中高二下第二次月考文数学卷(解析版) 题型:选择题

设集合,则集合( )

A. B.

C. D.

查看答案和解析>>

同步练习册答案