精英家教网 > 高中数学 > 题目详情
已知圆C1:x2+y2-2x-4y-13=0与圆C2:x2+y2-2ax-6y+a2+1=0(其中a>0)相外切,且直线l:(m+1)x+y-7m-7=0与圆C2相切,求m的值.
【答案】分析:圆C1与圆C2相外切,可得 ,由此解得a的值.因为直线l与圆C2相切,可得,两边平方,解方程求得m的值.
解答:解:由已知,C1(1,2),圆C1的半径;C2(a,3),圆C2的半径
因为 圆C1与圆C2相外切,所以 
整理,得(a-1)2=49.又因为 a>0,所以 a=8.
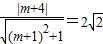
因为直线l与圆C2相切,所以
.两边平方后,整理得7m2+8m=0,
所以m=0,或
点评:本题主要考查两圆的位置关系的判定方法,点到直线的距离公式的应用,属于中档题.
练习册系列答案
相关习题

科目:高中数学 来源: 题型:

(2013•惠州二模)已知圆C1:x2+y2=2和圆C2,直线l与C1切于点M(1,1),圆C2的圆心在射线2x-y=0(x≥0)上,且C2经过坐标原点,如C2被l截得弦长为4
3

(1)求直线l的方程;
(2)求圆C2的方程.

查看答案和解析>>

科目:高中数学 来源: 题型:

已知圆C1x2+y2=2,直线l与圆C1相切于点A(1,1);圆C2的圆心在直线x+y=0上,且圆C2过坐标原点.
(1)求直线l的方程;
(2)若圆C2被直线l截得的弦长为8,求圆C2的方程.

查看答案和解析>>

科目:高中数学 来源: 题型:

已知圆C1x2+y2=10与圆C2x2+y2+2x+2y-14=0
(1)求证:圆C1与圆C2相交;
(2)求两圆公共弦所在直线的方程;
(3)求经过两圆交点,且圆心在直线x+y-6=0上的圆的方程.

查看答案和解析>>

科目:高中数学 来源: 题型:

已知圆C1:x2+(y+5)2=5,设圆C2为圆C1关于直线l对称的圆,则在x轴上是否存在点P,使得P到两圆的切线长之比为
2
?荐存在,求出点P的坐标;若不存在,试说明理由.

查看答案和解析>>

科目:高中数学 来源: 题型:

(2013•宁波模拟)如图,已知圆C1x2+(y-1)2=4和抛物线C2:y=x2-1,过坐标原点O的直线与C2相交于点A、B,定点M坐标为(0,-1),直线MA,MB分别与C1相交于点D、E.
(1)求证:MA⊥MB.
(2)记△MAB,△MDE的面积分别为S1、S2,若
S1S2
,求λ的取值范围.

查看答案和解析>>

同步练习册答案