精英家教网 > 高中数学 > 题目详情
如图所示,在正方体ABCD-A1B1C1D1中,E为AB的中点,
(1)若F为AA1的中点,求证:EF∥平面DD1C1C;
(2)若F为AA1的中点,求二面角A-EC-D1的余弦值;
(3)若F在AA1上运动(F与A,A1不重合),求当半平面D1EF与半平面ADE成的角时,线段A1F与FA的比。
解:(1)如图①,连接A1B,
因为E为AB的中点,F为AA1的中点,
所以EF∥A1B,
又A1B∥D1C,
所以EF∥D1C,
因为EF平面DD1C1C,D1C平面DD1C1C,
所以EF∥平面DD1C1C。
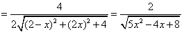
(2)设二面角A-EC-D1的大小为θ,
设正方体的棱长为2,由(1)知F,D1,C,E四点共面,
且四边形EFD1C为等腰梯形,

所以
所以二面角A-EC-D1的余弦值为
(3)建立如图②所示的坐标系,设正方体的棱长为2,AF=x(0<x<2),
则D(0,0,0),A(2,0,0),E(2,1,0),D1(0,0,2),F(2,0,x),
因为DD1⊥平面ADE,
所以取为平面ADE的法向量,
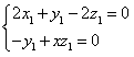
设平面D1EF的法向量为n=(x1,y1,z1),
因为(0,-1,x),
所以
取z1=2,则n=(2-x,2x,2),
因为半平面D1EF与半平面ADE成的角,
所以,
解得,即
所以线段A1F与FA的比为
练习册系列答案
相关习题

科目:高中数学 来源: 题型:

精英家教网如图所示,在正方体ABCD-A1B1C1D1中,E为AB的中点
(1)若F为AA1的中点,求证:EF∥面DD1C1C;
(2)若F为AA1的中点,求二面角A-EC-D1的余弦值.

查看答案和解析>>

科目:高中数学 来源: 题型:

12、如图所示,在正方体ABCD-A1B1C1D1中,P为中截面的中心,则△PA1C1在该正方体各个面上的射影可能是(  )

查看答案和解析>>

科目:高中数学 来源: 题型:

(2011•宝山区二模)如图所示,在正方体ABCD-A1B1C1D1的侧面ABB1A1内有一动点P到直线A1B1和直线BC的距离相等,则动点P所在曲线形状为(  )

查看答案和解析>>

科目:高中数学 来源: 题型:

如图所示,在正方体ABCD-A1B1C1D1的侧面AB1内有一动点P到直线A1B1与直线BC的距离相等,则动点P所在曲线的形状为(  )

查看答案和解析>>

科目:高中数学 来源: 题型:

精英家教网如图所示,在正方体ABCD-A1B1C1D1中,点E是棱CC1上的一个动点,平面BED1交棱AA1于点F.则下列命题中假命题是(  )

查看答案和解析>>

同步练习册答案