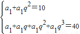
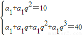
已知等比数列{an}中,a1+a3=10,前4项和为40.
(1)求数列{an}的通项公式;
(2)若等差数列{bn}的各项为正,其前n项和为Tn,且T3=15,又a1+b1,a2+b2,a3+b3成等比数列,求Tn.
【答案】
分析:(1)首先根据等比数列的公式及其和公式可得

,即可求出

,进而可以求出数列{a
n}的通项公式为a
n=3
n-1
(2)首先设等差数列{b
n}的公差为d,则T
3=b
1+b
2+b
3=3b
2=15,可求出b
2=5,再由已知知a
1+b
1,a
2+b
2,a
3+b
3成等比数列,即(a
2+b
2)
2=(a
1+b
1)(a
3+b
3),即可得出d=-10或d=2,经判断舍去d=-10,进而得出
Tn=n2+2n解答:解:(1)设等比数列{a
n}的公比为q,则

∴

∴a
n=a
1q
n-1=3
n-1.
∴等比数列{a
n}的通项公式为a
n=3
n-1.
(2)设等差数列{b
n}的公差为d,则T
3=b
1+b
2+b
3=3b
2=15,
∴b
2=5.
又∵a
1+b
1,a
2+b
2,a
3+b
3成等比数列,
∴(a
2+b
2)
2=(a
1+b
1)(a
3+b
3),
即(3+5)
2=(1+b
1)(9+b
3),
64=(6-d)(14+d).
∴d=-10或d=2.
∴

(舍去)或

∴

.
点评:此题主要考等比数列的求解及相关计算.