精英家教网 > 高中数学 > 题目详情

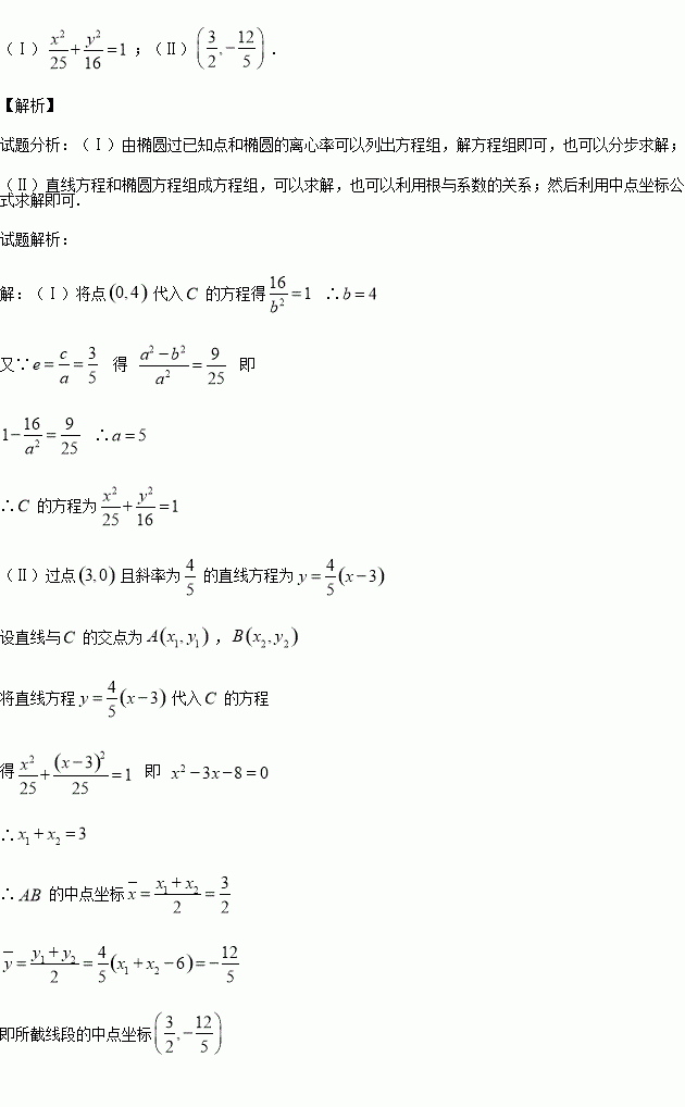
设椭圆过点,离心率

(Ⅰ)求的方程;

(Ⅱ)求过且斜率的直线被椭圆所截线段的中点坐标。

练习册系列答案
相关习题

科目:高中数学 来源:2015-2016学年广东高州一中高二下学第一次月考理科数学试卷(解析版) 题型:选择题

已知集合,则 ( )

A. B. C. D.

查看答案和解析>>

科目:高中数学 来源:2016届河南省高考押题一理科数学试卷(解析版) 题型:选择题

若一组数据2,4,6,8的中位数、方差分别为,且,则的最小值为( )

A. B. C. D.20

查看答案和解析>>

科目:高中数学 来源:2015-2016学年广东省高二下期中文科数学试卷(解析版) 题型:选择题

某四面体的三视图如图所示,该四面体四个面中,面积最大的面的面积是( )

A.8 B.10 C. D.

查看答案和解析>>

科目:高中数学 来源:2015-2016学年广东省高二下期中文科数学试卷(解析版) 题型:选择题

已知,且,则( )

A. B. C. D.

查看答案和解析>>

科目:高中数学 来源:2015-2016学年广东省高二下期中理科数学试卷(解析版) 题型:填空题

已知点为坐标原点,点在双曲线上,过点作双曲线的某一条渐近线的垂线,垂足为,则的值为

查看答案和解析>>

科目:高中数学 来源:2015-2016学年广东省高二下期中理科数学试卷(解析版) 题型:选择题

已知一个几何体的三视图是三个全等的边长为1的正方形,如图所示,则它的体积为( )

A. B. C. D.

查看答案和解析>>

科目:高中数学 来源:2015-2016学年浙江省高二下期中数学试卷(解析版) 题型:填空题

已知集合,且下列三个关系:有且只有一个正确,则

查看答案和解析>>

科目:高中数学 来源:2015-2016学年山西省高二下期末文科数学试卷(解析版) 题型:填空题

关于不等式的解集是

查看答案和解析>>

同步练习册答案