精英家教网 > 高中数学 > 题目详情

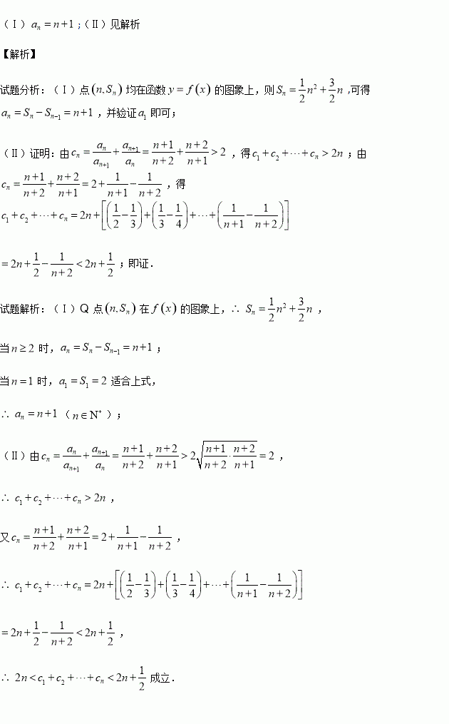
已知函数,数列的前项和为,点)均在函数的图象上.

(Ⅰ)求数列的通项公式

(Ⅱ)令,证明:

练习册系列答案
相关习题

科目:高中数学 来源:2015-2016学年天津市静海县六校高一下期中数学试卷(解析版) 题型:解答题

(本小题满分14分)等比数列的前项和,数列满足

).

(1)求的值及的通项公式;

(2)求数列的前项和 ;

(3)求数列的最小项的值.

查看答案和解析>>

科目:高中数学 来源:2016届广东省高三5月测试文科数学试卷(解析版) 题型:解答题

选修4-1:几何证明选讲

如图,直线经过上的点,并且交直线,连接

(Ⅰ)求证:直线的切线;

(Ⅱ)若的半径为,求的长.

查看答案和解析>>

科目:高中数学 来源:2016届广东省高三5月测试文科数学试卷(解析版) 题型:选择题

《莱因德纸草书》是世界上最古老的数学著作之一.书中有一道这样的题目:把个面包分给五个人,使每人所得成等差数列,且使较大的三份之和的是较小的两份之和,问最小份为( )

A. B. C. D.

查看答案和解析>>

科目:高中数学 来源:2016届广东省高三5月测试理科数学试卷(解析版) 题型:解答题

如图,半圆的直径的长为,点平分,过的垂线交,交

(Ⅰ)求证:

(Ⅱ)若平分,求的长.

查看答案和解析>>

科目:高中数学 来源:2016届广东省高三5月测试理科数学试卷(解析版) 题型:选择题

非空集合关于运算满足:(1)对任意,都有;(2)存在,使得对一切,都有,则称关于运算为“融洽集”.现给出下列集合和运算:①为整数的加法;②为整数的乘法;③为平面向量的加法;④为多项式的加法;⑤为复数的乘法.其中关于运算为“融洽集”的是( )

A.①③ B.②③ C.①⑤ D.②③④

查看答案和解析>>

科目:高中数学 来源:2016届广东省高三5月测试理科数学试卷(解析版) 题型:选择题

已知直线,平面,且,则“”是“”的( )

A.充分不必要条件

B.必要不充分条件

C.充要条件

D.既不充分也不必要条件

查看答案和解析>>

科目:高中数学 来源:2015-2016学年福建省高二6月月考数学试卷(解析版) 题型:选择题

已知函数是奇函数,则曲线处的切线方程为( )

A. B. C. D.

查看答案和解析>>

科目:高中数学 来源:2016届吉林省高三下4月月考理科数学试卷(解析版) 题型:填空题

.已知在直角梯形中,,将直角梯形沿折叠成三棱锥,当三棱锥的体积取最大值时,其外接球的体积为______.

查看答案和解析>>

同步练习册答案