精英家教网 > 高中数学 > 题目详情

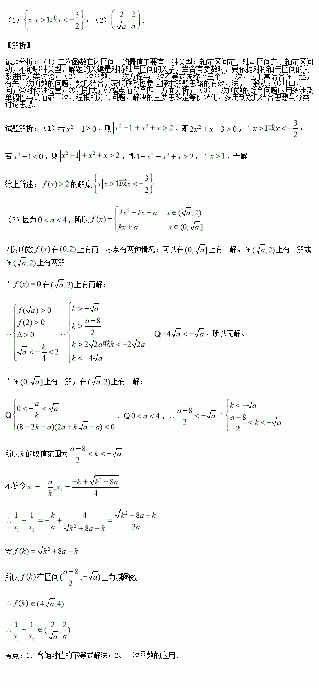
已知函数

(1)若,求不等式的解集;

(2)若函数上有两个零点,求的取值范围.

练习册系列答案
相关习题

科目:高中数学 来源:2014-2015学年江西省高三5月模拟试卷理科数学试卷(解析版) 题型:解答题

(本小题满分10分)选修4-5:不等式选讲

已知正实数满足:.

(1)求的最小值;

(2)设函数,对于(1)中求得的,是否存在实数,使得成立,说明理由.

查看答案和解析>>

科目:高中数学 来源:2014-2015学年江苏省高三4月双周测数学试卷(解析版) 题型:填空题

的顶点在坐标原点,始边与轴的非负半轴重合,终边经过点,则的值是

查看答案和解析>>

科目:高中数学 来源:2014-2015学年湖北宜昌市高三下学期第一次模拟考试理科数学试卷(解析版) 题型:填空题

已知,

.

查看答案和解析>>

科目:高中数学 来源:2014-2015学年湖北宜昌市高三下学期第一次模拟考试理科数学试卷(解析版) 题型:选择题

阅读如图所示的程序框图,运行相应的程序. 若输出的S为,则判断框中填写的内容可以是( )

A. B. C. D.

查看答案和解析>>

科目:高中数学 来源:2014-2015学年浙江省高三第二次考试五校联考文科数学试卷(解析版) 题型:填空题

已知内心,若,则= .

查看答案和解析>>

科目:高中数学 来源:2014-2015学年浙江省高三第二次考试五校联考文科数学试卷(解析版) 题型:选择题

如图,正的中心位于点G,A,动点P从A点出发沿的边界按逆时针方向运动,设旋转的角度,向量方向的投影为y(O为坐标原点),则y关于x的函数的图像是( )

查看答案和解析>>

科目:高中数学 来源:2014-2015学年浙江省高三第二次考试五校联考理科数学试卷(解析版) 题型:填空题

表示两数中的最大值,若,则的最小值为 ,若关于对称,则

查看答案和解析>>

科目:高中数学 来源:2014-2015学年广东省汕头市潮南区高三5月高考模拟文科数学试卷(解析版) 题型:解答题

(12分)某县为增强市民的环境保护意识,面向全县征召义务宣传志愿者.现从符合条件的志愿者中随机抽取100名按年龄分组:第1组,第2组,第3组,第4组,第5组,得到的频率分布直方图如图所示.

(1)分别求第3,4,5组的频率.

(2)若从第3,4,5组中用分层抽样的方法抽取6名志愿者参广场的宣传活动,应从第3,4,5组各抽取多少名志愿者?

(3)在(2)的条件下,该县决定在这6名志愿者中随机抽取2名志愿者介绍宣传经验,

求第4组至少有一名志愿者被抽中的概率.

查看答案和解析>>

同步练习册答案