精英家教网 > 高中数学 > 题目详情

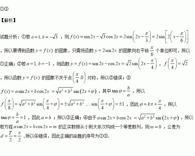
已知函数,有下列四个命题:其中正确命题的序号为__ __.(填上所有正确命题的序号)

①若,要得到函数的图象,只需将函数的图象向右平移个单位;

②若,则函数的一个对称中心为

③若的一条对称轴方程为,则

④若方程的正实数根从小到大依次构成一个等差数列,则这个等差数列的公差为

.

练习册系列答案
相关习题

科目:高中数学 来源:2015-2016学年江西省高二下期中文科数学试卷(解析版) 题型:解答题

分别为椭圆的左、右焦点.

(1)若椭圆上的点两点的距离之和等于,求椭圆的方程和焦点坐标;

(2)设点是(1)中所求得的椭圆上的动点,,求的最大值.

查看答案和解析>>

科目:高中数学 来源:2015-2016学年福建省高二下培优补差理数学试卷(解析版) 题型:选择题

,则等于( )

A. B. C. D.

查看答案和解析>>

科目:高中数学 来源:2015-2016学年河北省高一下第一次月考数学试卷(解析版) 题型:选择题

设数列是递增的等差数列,前三项之和为,前三项的积为,则它的首项是( )

A. B. C. D.

查看答案和解析>>

科目:高中数学 来源:2015-2016学年四川省高一下期中数学试卷(解析版) 题型:解答题

如图,某观测站在港口的南偏西方向的处,测得一船在距观测站海里的处,正沿着从港口出发的一条南偏东的航线上向港口开去,当船走了海里到达处,此时观测站又测得等于海里,问此时船离港口处还有多远?

查看答案和解析>>

科目:高中数学 来源:2015-2016学年四川省高一下期中数学试卷(解析版) 题型:选择题

如图,在正方形中,,点分别在边上,的中点,且,则的面积的取值范围为( )

A. B. C. D.

查看答案和解析>>

科目:高中数学 来源:2015-2016学年四川省高一下期中数学试卷(解析版) 题型:选择题

已知,则( )

A. B. C. D.

查看答案和解析>>

科目:高中数学 来源:2015-2016学年湖南常德石门一中高一下第一次月考数学卷(解析版) 题型:选择题

实验测得四组的值分别为,则之间的回归直线一定过点( )

A. B.

C. D.

查看答案和解析>>

科目:高中数学 来源:2015-2016学年安徽省高二下期中文科数学试卷(解析版) 题型:填空题

函数的定义域为

查看答案和解析>>

同步练习册答案