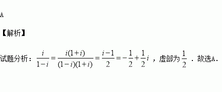
精英家教网 > 高中数学 > 题目详情

已知是虚数单位,复数的虚部是( )

A. B. C. D.

练习册系列答案
相关习题

科目:高中数学 来源:2015-2016学年福建上杭一中高一下期末模拟一数学试卷(解析版) 题型:选择题

化成五进制数的末位数字为( )

A. B. C. D.

查看答案和解析>>

科目:高中数学 来源:2015-2016学年黑龙江省高一下期中数学试卷(解析版) 题型:选择题

某船开始看见灯塔在南偏东方向,后来船沿南偏东的方向航行后,看见灯塔在正西方向,则这时船与灯塔的距离是( )

A. B. C. D.km

查看答案和解析>>

科目:高中数学 来源:2015-2016学年黑龙江省高二下期中文数学试卷(解析版) 题型:填空题

如图,在圆O中,直径AB与弦CD垂直,垂足为E,EF⊥DB,垂足为F,若AB=6,AE=1,则DFDB=________.

查看答案和解析>>

科目:高中数学 来源:2015-2016学年黑龙江省高二下期中文数学试卷(解析版) 题型:选择题

执行右图程序框图,如果输入的 均为2,则输出的( )

A.4 B.5 C.6 D.7

查看答案和解析>>

科目:高中数学 来源:2015-2016学年黑龙江省高二下期中理数学试卷(解析版) 题型:解答题

在极坐标系中,曲线的方程为,点.

(1)以极点为原点,极轴为轴的正半轴,建立平面直角坐标系,把曲线的极坐标方程化为直角坐标方程,点的极坐标化为直角坐标;

(2)设为曲线上一动点,以为对角线的矩形的一边垂直于极轴,求矩形周长的最小值,及此时点的直角坐标.

查看答案和解析>>

科目:高中数学 来源:2015-2016学年黑龙江省高二下期中理数学试卷(解析版) 题型:选择题

若曲线 与曲线 存在公切线,则有( )

A. 最大值 B. 最大值 C. 最小值 D. 最小值

查看答案和解析>>

科目:高中数学 来源:2015-2016学年黑龙江大庆一中高二下第二次段考文数学卷(解析版) 题型:填空题

设Sn是数列{an}的前n项和,且a1=—1,an+1=SnSn+1,则Sn=__________________________.

查看答案和解析>>

科目:高中数学 来源:2015-2016学年湖北省高二3月月考文科数学试卷(解析版) 题型:解答题

已知函数.

(1)若,求曲线在点处的切线;

(2)若函数在其定义域内为增函数,求正实数的取值范围;

(3)设函数,若在上至少存在一点,使得成立,求实数的取值范围.

查看答案和解析>>

同步练习册答案