精英家教网 > 高中数学 > 题目详情

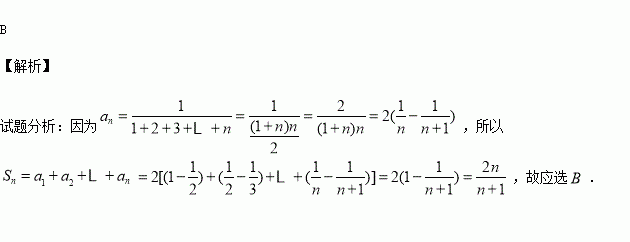
数列1,,…,的前项和 ( )

A. B. C. D.

练习册系列答案
相关习题

科目:高中数学 来源:2015-2016学年广东省清远市实验学校高一上学期期中数学试卷(解析版) 题型:填空题

函数则该函数值域为

查看答案和解析>>

科目:高中数学 来源:2016届山西省高三10月月考文科数学试卷(解析版) 题型:解答题

已知椭圆的离心率为,其左,右焦点分别为是坐标平面内一点,且,其中为坐标原点.

(1)求椭圆的方程;

(2)过点,且斜率为的动直线交椭圆于两点,在轴上是否存在定点,使以为直径的圆恒过这个定点?若存在,求出点的坐标;若不存在,请说明理由.

查看答案和解析>>

科目:高中数学 来源:2016届辽宁省沈阳市高三上学期期中理科数学试卷(解析版) 题型:填空题

如图,在棱柱的侧棱上各有一个动点,且满足是棱上的动点,则的最大值是

查看答案和解析>>

科目:高中数学 来源:2016届江苏省高三上学期周练数学试卷(解析版) 题型:填空题

以点为圆心且与直线相切的圆的方程是

查看答案和解析>>

科目:高中数学 来源:2015-2016学年山西省高二上期中文科数学试卷(解析版) 题型:填空题

如图所示,在长方体中则在长方体表面上连接两点的所有曲线长度最小值为__________.

查看答案和解析>>

科目:高中数学 来源:2015-2016学年山西省高二上期中理科数学试卷(解析版) 题型:选择题

已知三棱柱中,平面,并且,那么直线与侧面所成角的正弦值等于

A. B. C. D.

查看答案和解析>>

科目:高中数学 来源:2015-2016学年吉林省高一上期中文科数学试卷(解析版) 题型:解答题

已知函数,函数的最小值为

(1)求

(2)是否存在实数同时满足以下条件:

;②当的定义域为时,值域为.若存在,求出的值;若不存在,说明理由

查看答案和解析>>

科目:高中数学 来源:2016届宁夏吴忠中学高三上第四次月考文科数学试卷(解析版) 题型:填空题

如图,在△中,,高,在内作射线于点,求的概率

查看答案和解析>>

同步练习册答案