精英家教网 > 高中数学 > 题目详情

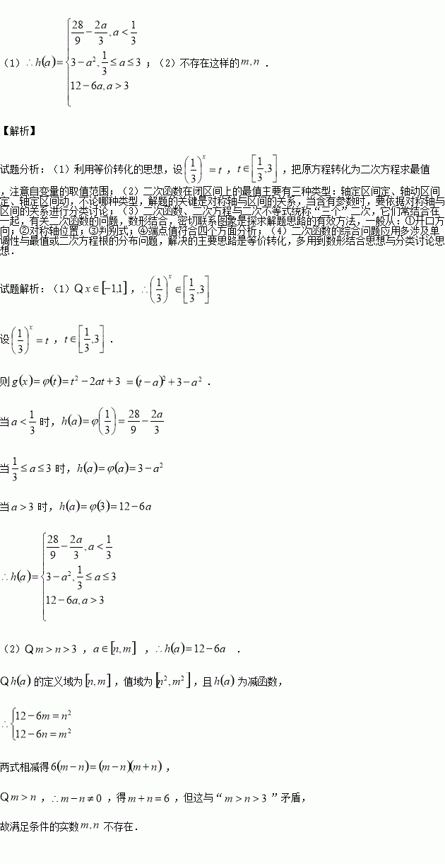
已知函数,函数的最小值为

(1)求

(2)是否存在实数同时满足以下条件:

;②当的定义域为时,值域为.若存在,求出的值;若不存在,说明理由

练习册系列答案
相关习题

科目:高中数学 来源:2015-2016学年河北省高一上学期期中考试理科数学试卷(解析版) 题型:选择题

下列函数中,在定义域内既是奇函数又是增函数的为

A. B. C. D.

查看答案和解析>>

科目:高中数学 来源:2016届湖南省高三上第三次月考文数学卷(解析版) 题型:选择题

数列1,,…,的前项和 ( )

A. B. C. D.

查看答案和解析>>

科目:高中数学 来源:2015-2016学年江西省吉安市高一上学期期中数学试卷(解析版) 题型:选择题

已知函数对任意的都有,且当时,,则函数的大致图象为( )

查看答案和解析>>

科目:高中数学 来源:2015-2016学年江苏省高一创新班上期中数学试卷(解析版) 题型:填空题

已知全集,集合,集合,则集合

查看答案和解析>>

科目:高中数学 来源:2015-2016学年吉林省高一上期中文科数学试卷(解析版) 题型:选择题

的值等于( )

A. B. C.- D.

查看答案和解析>>

科目:高中数学 来源:2015-2016学年湖北孝感高中高二上学期期中文科数学试卷(解析版) 题型:填空题

在一次射击训练中,某战士连续射击了两次.设命题是“第一次射击击中目标”, 是“第二次射击击中目标”.则命题“两次都没有击中目标”用及逻辑联结词可以表示为

查看答案和解析>>

科目:高中数学 来源:2015-2016学年广东广州执信中学高一上学期期中数学试卷(解析版) 题型:选择题

函数的单调递减区间是( )

A. B. C. D.

查看答案和解析>>

科目:高中数学 来源:2015-2016学年重庆市高一上学期期中数学试卷(解析版) 题型:填空题

将函数的图象向上平移1个单位,再向右平移2个单位后得到函数,那么的表达式为__________.

查看答案和解析>>

同步练习册答案