精英家教网 > 高中数学 > 题目详情

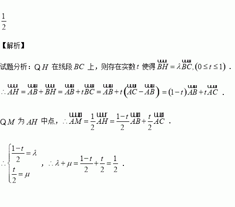
中,点是边上异于端点的一点,的中点,,那么____________.

练习册系列答案
相关习题

科目:高中数学 来源:2015-2016学年重庆市高一10月月考数学试卷(解析版) 题型:选择题

关于x的不等式的解集为,则实数k的取值范围为( )

A. B. C. D.

查看答案和解析>>

科目:高中数学 来源:2015-2016学年河北衡水冀州中学高二上期中理科数学B卷(解析版) 题型:解答题

(本小题10分)已知命题:方程表示双曲线;命题),

的充分非必要条件,试求实数的取值范围.

查看答案和解析>>

科目:高中数学 来源:2016届四川省巴中市普通高中高三10月零诊考试理科数学试卷(解析版) 题型:解答题

(本小题满分12分)如图,四棱锥P-ABCD中,底面ABCD为矩形,PA⊥平面ABCD,PA=AD=1,AB=,点E为PD的中点,点F在棱DC上移动。

(1)当点F为DC的中点时,试判断EF与平面PAC的位置关系,并说明理由;

(2)求证:无论点F在DC的何处,都有PF⊥ AE

(3)求二面角E-AC-D的余弦值。

查看答案和解析>>

科目:高中数学 来源:2014-2015学年陕西省西安市高三上学期期中考试文科数学试卷(解析版) 题型:选择题

函数内的单调增区间是( )

A. B. C. D.

查看答案和解析>>

科目:高中数学 来源:2015-2016年重庆巴蜀中学高一上学期10月月考数学试卷(解析版) 题型:填空题

满足条件{1,2}∪A={1,2,3,4,5}的集合A的个数为

查看答案和解析>>

科目:高中数学 来源:2015-2016学年四川省高二10月月考数学试卷(解析版) 题型:选择题

如果一条直线与一个平面垂直,则称此直线与平面构成一个“正交线面对”.在一个正方体中,由两个顶点确定的直线与含有四个顶点的平面构成的“正交线面对”的个数是

A.48 B.18 C.24 D.36

查看答案和解析>>

科目:高中数学 来源:2015-2016学年湖北武汉二中高二上学期期中理科数学试卷(解析版) 题型:选择题

已知双曲线的渐近线方程为y=±x,若顶点到渐近线的距离为1,则双曲线的方程为( )

A. B.

C. D.

查看答案和解析>>

科目:高中数学 来源:2014-2015学年海南省高三下学期大测三理科数学试卷(解析版) 题型:解答题

(本小题满分10分)选修4—1:几何证明选讲

如图,在直径的延长线上任取一点,过点做直线交于点,在上取一点,使,连接,交

(1)求证:四点共圆;

(2)若,求的值.

查看答案和解析>>

同步练习册答案