精英家教网 > 高中数学 > 题目详情

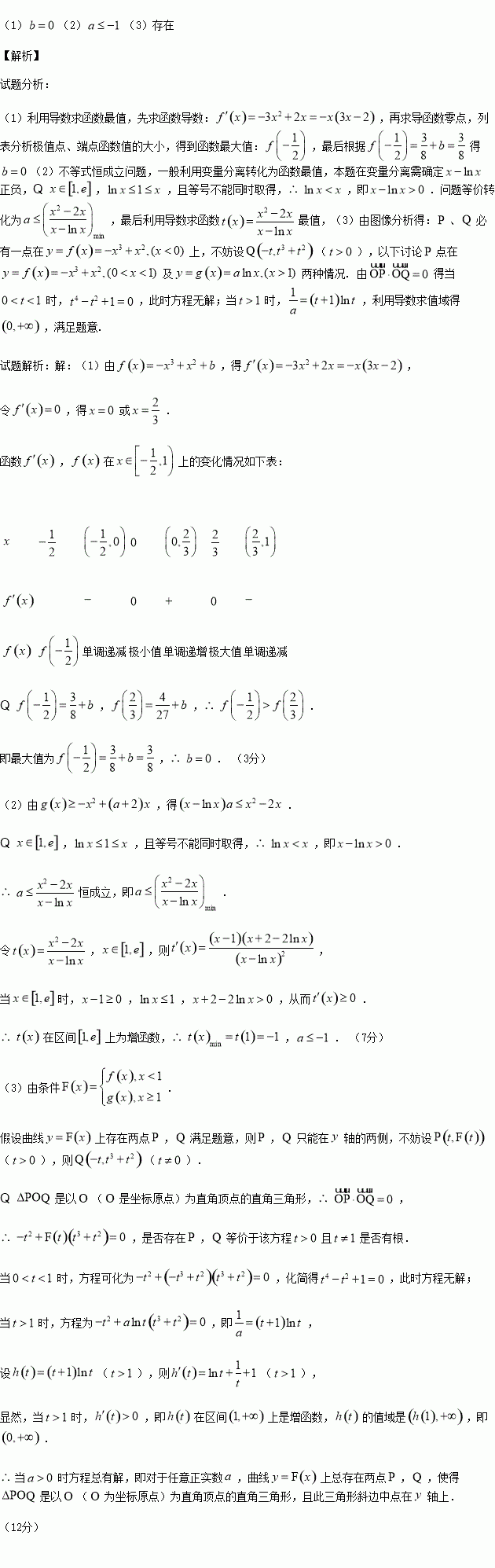
(本小题满分12分)

已知函数

(1)若上的最大值为,求实数的值;

(2)若对任意,都有恒成立,求实数的取值范围;

(3)在(1)的条件下,设,对任意给定的正实数,曲线上是否存在两点,使得是以为坐标原点)为直角顶点的直角三角形,且此三角形斜边中点在轴上?请说明理由.

练习册系列答案
相关习题

科目:高中数学 来源:2016届河南省郑州市高三上学期联考文科数学试卷(解析版) 题型:选择题

函数的图象与x轴的交点的横坐标构成一个公差为的等差数列,要得到函数的图象,只需将f(x)的图象( ).

A.向左平移个单位

B.向左平移个单位

C.向左平移个单位

D.向右平移个单位

查看答案和解析>>

科目:高中数学 来源:2015-2016学年广东省汕头市高一上学期期中考试数学试卷(解析版) 题型:选择题

下列函数是偶函数的是:( )

A. B. C. D.

查看答案和解析>>

科目:高中数学 来源:2016上海复旦大学附中届高三上期中文科数学试卷(解析版) 题型:填空题

满足等式的复数

查看答案和解析>>

科目:高中数学 来源:2016届河北省高三上学期四调文科数学试卷(解析版) 题型:解答题

(本题小满分12分)

如图,直三棱柱中,分别是的中点,

(1)证明:平面

(2)求异面直线所成角的大小;

(3)当时,求三棱锥的体积.

查看答案和解析>>

科目:高中数学 来源:2016届河北省高三上学期四调理科数学试卷(解析版) 题型:选择题

函数)的大致图象是( )

A. B. C. D.

查看答案和解析>>

科目:高中数学 来源:2015-2016学年吉林省高二11月月考理科数学卷(解析版) 题型:解答题

(本小题满分12分)

已知在等比数列中,,且的等差中项.

(Ⅰ)求数列的通项公式;

(Ⅱ)若数列满足,求的前项和. Ks5

查看答案和解析>>

科目:高中数学 来源:2016届宁夏六盘山高中高三上学期第二次月考文科数学试卷(解析版) 题型:解答题

已知数列的前项和为

(1)求数列的通项公式;

(2)求数列的前项和的取值范围.

查看答案和解析>>

科目:高中数学 来源:2015-2016学年浙江省高一上学期期中数学试卷(解析版) 题型:解答题

已知函数

(1)求的最小值(用表示);

(2)关于的方程有解,求实数的取值范围.

查看答案和解析>>

同步练习册答案