精英家教网 > 高中数学 > 题目详情

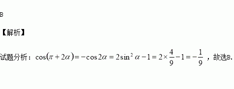
已知,则等于 ( )

A. B. C. D.

练习册系列答案
相关习题

科目:高中数学 来源:2015-2016学年福建省高二下期初考试理科数学试卷(解析版) 题型:选择题

已知空间四面体的每条边都等于1,点分别是的中点,则等于 ( )

A. B. C. D.

查看答案和解析>>

科目:高中数学 来源:2015-2016学年福建省四地六校高一下学期第一次联考数学试卷(解析版) 题型:选择题

在正方体中,与平面所成的角的大小是( )

A.90° B.30° C.45° D.60°

查看答案和解析>>

科目:高中数学 来源:2015-2016学年重庆市高一4月月考数学试卷(解析版) 题型:填空题

数列,则是该数列的第 项.

查看答案和解析>>

科目:高中数学 来源:2015-2016学年重庆市高一4月月考数学试卷(解析版) 题型:选择题

已知函数,如果关于x的方程只有一个实根,那么实数的取值范围是( )

A. B. C. D.

查看答案和解析>>

科目:高中数学 来源:2015-2016学年青海西宁四中高一下第一次月考数学试卷(解析版) 题型:填空题

在△ABC中,已知角A、B、C的对边分别为a、b、c,且bcosB+ccosC=acosA,试判断△ABC的形状

查看答案和解析>>

科目:高中数学 来源:2015-2016学年青海西宁四中高一下第一次月考数学试卷(解析版) 题型:填空题

在等比数列{an}中, 若是方程3x2-2x-6=0的两根,则

查看答案和解析>>

科目:高中数学 来源:2015-2016学年河北冀州中学高一下首次月考理科数学卷(解析版) 题型:解答题

已知点,圆.

(1)求过点的圆的切线方程;(用直线方程的一般式作答)

(2)设圆上有两个不同的点关于直线对称且点到直线的距离最长,求直线的方程(用直线方程的一般式作答).

查看答案和解析>>

科目:高中数学 来源:2016届江西省九江市高三下学期三模理科数学试卷(解析版) 题型:选择题

是等差数列的前项和,若,则( )

A. B. C. D.

查看答案和解析>>

同步练习册答案