精英家教网 > 高中数学 > 题目详情

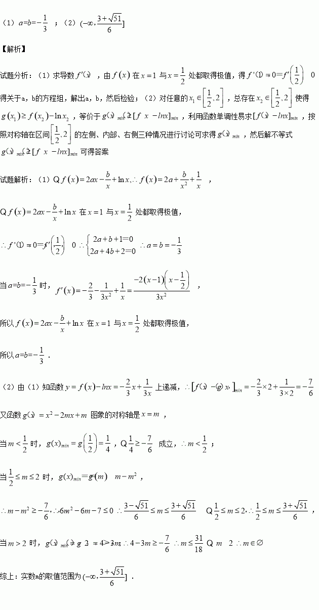
(本小题满分12分)已知处都取得极值.

(1)求的值;

(2)设函数,若对任意的,总存在,使得,求实数的取值范围.

练习册系列答案
相关习题

科目:高中数学 来源:2016届山东省高三10月月考文科数学试卷(解析版) 题型:填空题

设实数满足的最大值为

查看答案和解析>>

科目:高中数学 来源:2016届黑龙江省牡丹江市高三10月月考文科数学试卷(解析版) 题型:选择题

函数在区间内的图象是 ( )

查看答案和解析>>

科目:高中数学 来源:2016届黑龙江省高三第一阶段考试理科数学试卷(解析版) 题型:选择题

设集合,则等于( )

A. B. C. D.

查看答案和解析>>

科目:高中数学 来源:2016届河北省高三上学期三调考试理科数学试卷(解析版) 题型:解答题

如图,在中,的角平分线,的外接圆交于点

(1)求证:

(2)当时,求的长.

查看答案和解析>>

科目:高中数学 来源:2016届河北省高三二调理科数学试卷(解析版) 题型:解答题

(本小题满分12分)设函数

(1)当时,上恒成立,求实数的取值范围;

(2)当时,若函数上恰有两个不同的零点,求实数的取值范围;

(3)是否存在常数,使函数和函数在公共定义域上具有相同的单调性?若存在,求出的取值范围;若不存在,请说明理由.

查看答案和解析>>

科目:高中数学 来源:2015-2016学年广东中山一中高二上第一次段考文科数学卷(解析版) 题型:解答题

(本小题满分12分)等差数列的前n项和记为,已知,求n.

查看答案和解析>>

科目:高中数学 来源:2015-2016学年黑龙江省牡丹江市高一上学期9月月考数学试卷(解析版) 题型:填空题

设函数,则满足的取值范围为

查看答案和解析>>

科目:高中数学 来源:2015-2016学年广东省清远市实验学校高一10月月考数学试卷A(解析版) 题型:选择题

,则 ( )

A.2 B.4 C. D.10

查看答案和解析>>

同步练习册答案