【答案】
分析:(1)S
n=2a
n-2n①,n≥2时,S
n-1=2a
n-1-2(n-1)②,①-②可得数列递推式,通过变形可构造一等比数列,求出该等比数列的通项公式,进而可得a
n;
(2)由(1)可求得b
n,从而可得

,利用错位相减法可求得T
n,通过作差可判断{T
n}的单调性,由此可求得其最小值,从而可证明;
解答:(1)解:当n∈N
*时,S
n=2a
n-2n①,则当n≥2时,S
n-1=2a
n-1-2(n-1)②,
①-②,得a
n=2a
n-2a
n-1-2,即a
n=2a
n-1+2,
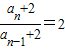
∴a
n+2=2(a
n-1+2),∴

,
当n=1时,S
1=2a
1-2,则a
1=2.
∴{a
n+2}是以a
1+2=4为首项,2为公比的等比数列,
∴

,∴

;
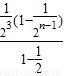
(2)证明:

,∴

,
则

③,

…④,
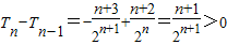
③-④,得

+

-

=

+

-

=

,
∴T
n=

-

.
当n≥2时,

,
∴{T
n}为递增数列,∴

.
点评:本题考查数列与不等式的综合、数列的求和,考查学生分析解决问题的能力.