精英家教网 > 高中数学 > 题目详情

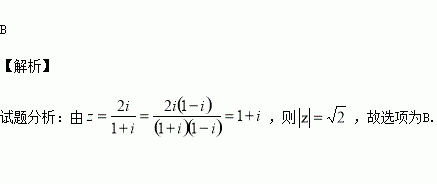
是虚数单位,复数,则=( )

A.1 B. C. D.2

练习册系列答案
相关习题

科目:高中数学 来源:2017届山东肥城市高三上学期升级统测数学(理)试卷(解析版) 题型:选择题

已知是实数,则“”是“直线与圆”相切的( )

A.充要条件 B.充分不必要条件

C.必要不充分条件 D.即不充分也不必要条件

查看答案和解析>>

科目:高中数学 来源:2015-2016内蒙古高二上第二次月考文科数学卷(解析版) 题型:选择题

已知,若恒成立,则实数的取值范围是()

A. B.

C. D.

查看答案和解析>>

科目:高中数学 来源:2017届宁夏高三上学期月考一数学(文)试卷(解析版) 题型:解答题

给出下列四个命题:

①若,且

③函数的一条对称轴是直线

④若则“复数为纯虚数”是“” 必要不充分条件.

其中,所有正确命题的序号是 .

查看答案和解析>>

科目:高中数学 来源:2017届宁夏高三上学期月考一数学(文)试卷(解析版) 题型:选择题

某四面体的三视图如图,正(主)视图、侧(左)视图、俯视图都是边长为1的正方形,则此四面体的外接球的表面积为( )

A. B. C. D.

查看答案和解析>>

科目:高中数学 来源:2017届黑龙江双鸭山一中高三上学期质检一数学(文)试卷(解析版) 题型:解答题

已知数列的前项和为,且满足.

(1)证明数列为等差数列;

(2)求.

查看答案和解析>>

科目:高中数学 来源:2017届黑龙江双鸭山一中高三上学期质检一数学(文)试卷(解析版) 题型:填空题

已知等差数列的前项和为,若,且三点共线(为该直线外一点),则=____________.

查看答案和解析>>

科目:高中数学 来源:2017届河南濮阳第一高级中学高三上学期检测二数学(文)试卷(解析版) 题型:解答题

已知函数.

(1)若,求函数在[0,1]上的最值;

(2)若函数的递减区间为,试探究函数在区间上的单调性.

查看答案和解析>>

科目:高中数学 来源:2016-2017贵州遵义航天高级中学高一上入学考试数学卷(解析版) 题型:选择题

不等式组的解集是( )

A. B. C. D.

查看答案和解析>>

同步练习册答案