精英家教网 > 高中数学 > 题目详情

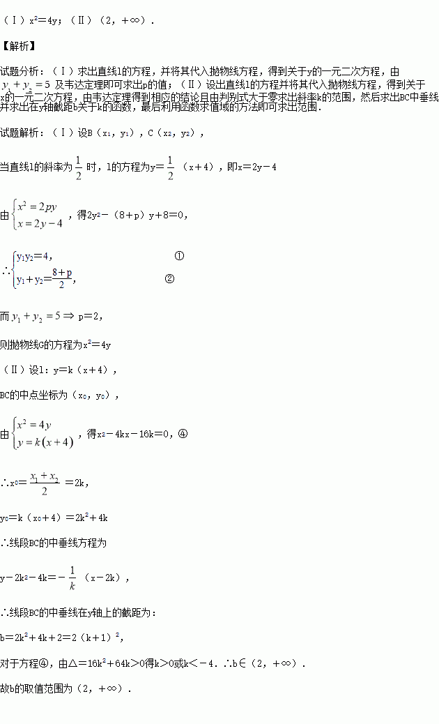
(本题满分12分)已知过点A(-4,0)的动直线l与抛物线相交于B,C两点.当直线的斜率是时,BC的中点M(1,2.5).

(Ⅰ)求抛物线的方程;

(Ⅱ)设线段的中垂线在y轴上的截距为,求的取值范围.

练习册系列答案
相关习题

科目:高中数学 来源:2014-2015学年吉林省长春市高一下学期期末理科数学试卷(解析版) 题型:填空题

在一个数列中,如果对任意,都有为常数,那么这个数列叫做等积数列,叫做这个数列的公积.已知数列是等积数列,且,公积为,记的前项和为,则:

(1)

(2)

查看答案和解析>>

科目:高中数学 来源:2015-2016学年重庆市高一10月月考数学试卷(解析版) 题型:选择题

”是“”的( )条件

A.充分不必要

B.必要不充分

C.充要

D.既不充分也不必要

查看答案和解析>>

科目:高中数学 来源:2015-2016学年江西新余一中高一上第一次段考数学试卷(解析版) 题型:选择题

下列四组函数,表示同一函数的是( )

A.

B.

C.

D.

查看答案和解析>>

科目:高中数学 来源:2015-2016学年湖北宜昌市高一上期中考试数学试卷(解析版) 题型:解答题

(本题满分12分)已知幂函数上单调递增,函数

(1)求的值;

(2)当时,记的值域分别为集合,若,求实数的取值范围.

查看答案和解析>>

科目:高中数学 来源:2015-2016学年湖北宜昌一中高二上学期期中理科数学试卷(解析版) 题型:选择题

两条直线互相垂直,则的值是

A. B. C. D.

查看答案和解析>>

科目:高中数学 来源:2015-2016学年河北衡水冀州中学高二上期中理科数学B卷(解析版) 题型:解答题

(本小题12分)某校从参加某次知识竞赛的同学中,选取60名同学将其成绩(百分制,均为整数)分成六组后,得到频率分布直方图(如图),观察图形中的信息,回答下列问题.

(1)从频率分布直方图中,估计本次考试成绩的中位数;

(2)若从第1组和第6组两组学生中,随机抽取2人,求所抽取2人成绩之差的绝对值大于10的概率.

查看答案和解析>>

科目:高中数学 来源:2016届四川省巴中市普通高中高三10月零诊考试理科数学试卷(解析版) 题型:解答题

(本小题满分12分)已知函数在x=1处的切线方程为x-y=1.

(1)求f(x)的表达式;

(2)若f(x)≥g(x)恒成立,则称f(x)为g(x)的一个“上界函数”,当(1)中的函数f(x)为函数g(x)=lnx(t∈R)的一个上界函数时,求实数t的取值范围;

(3)当m>0时,对于(1)中的f(x),讨论F(x)= f(x)+在区间(0,2)上极值点的个数.

查看答案和解析>>

科目:高中数学 来源:2015-2016学年湖北荆州中学高一上学期期中文科数学试卷(解析版) 题型:解答题

(本小题12分)已知函数满足:对于任意都有,且时,

(1)证明函数是奇函数;

(2)判断并证明函数上的单调性,然后求函数上的最值;

(3)解不等式:

查看答案和解析>>

同步练习册答案