精英家教网 > 高中数学 > 题目详情
已知等比数列的公比为2,且前四项之和等于1,那么前八项之和等于   
【答案】分析:先设出等比数列的首项,根据公比位,写出前四项之和以及前八项之和的表达式,再根据二者之间的关系结合公比为2即可求出结论.
解答:解:设等比数列的首项为a1
∵公比q=2,
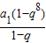
∴S4=
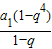
所以S8==
=S4×(1+q4
=1×(1+24)=17.
故答案为:17.
点评:本题主要考查等比数列求和公式的应用.在解决本题的过程中,用到了整体代入的思想,当然本题也可以先利用公比以及前四项和求出首项,再代入求值.
练习册系列答案
相关习题

科目:高中数学 来源: 题型:

已知等比数列的公比为2,且前四项之和等于1,那么前八项之和等于(  )
A、15B、21C、19D、17

查看答案和解析>>

科目:高中数学 来源: 题型:

已知等比数列的公比为2,且前四项之和等于1,那么前八项之和等于
 

查看答案和解析>>

科目:高中数学 来源: 题型:

已知等比数列的公比为2,且前三项之和等于1,那么前六项之和等于
9
9

查看答案和解析>>

科目:高中数学 来源: 题型:

已知等比数列的公比为2,且前5项和为1,那么前10项和等于(  )

查看答案和解析>>

科目:高中数学 来源: 题型:

已知等比数列的公比为正数,且·=2=1,则=

A.     B.    C.     D.2

查看答案和解析>>

同步练习册答案