精英家教网 > 高中数学 > 题目详情

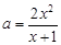
已知函数

(1)当时,求函数上的最大值;

(2)令,若在区间上不单调,求的取值范围;

(3)当时,函数的图象与轴交于两点,且,又的导函数.若正常数满足条件,证明:

 

【答案】

(1);(2);(3)详见解析.

【解析】

试题分析:(1)当时,,求其在上的最大值,先要求出其导函数,然后利用导数的符号,判断函数的单调区间,最后就可求出函数的最大值;(2)函数在区间上不单调,而函数在在区间又是不间断的,则区间上有根且无重根,问题就转化为方程有解的问题,分离参数后又转化为函数的值域问题,这是我们所熟悉的问题;(3)根据有两个实根,可得关于的两个等式,从而消去,再将适当放缩后构造函数,通过判断函数的单调性去求函数的最值从而证明不等式.

试题解析:(1)                                   2分

函数在[,1]是增函数,在[1,2]是减函数,

所以.                                      4分

(2)因为,所以,                   5分

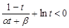
因为在区间上不单调,所以在(0,3)上有实数解,且无重根,

,有=,()             6分

又当时,有重根,                               7分

综上                                                           8分

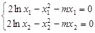
(3)∵,又有两个实根

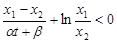
,两式相减,得

,                                           10分

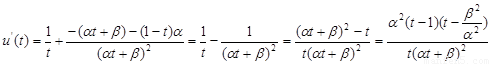
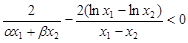
于是

.                             11分

要证:,只需证:

只需证:.(*)                                         12分

,∴(*)化为 ,只证即可.  13分

, 14分

在(0,1)上单调递增,       15分

,即.∴.  16分

考点:函数的综合运用.

 

练习册系列答案
相关习题

科目:高中数学 来源: 题型:

已知函数f(x)=
1-x2
+
x2-1
的定义域是(  )
A、[-1,1]
B、{-1,1}
C、(-1,1)
D、(-∞,-1]∪[1,+∞)

查看答案和解析>>

科目:高中数学 来源: 题型:

已知函数f(x)=
(1-b)x+b,x<0
(b-3)x2+2,x≥0
,在(-∞,+∞)上是减函数,则实数b的范围为(  )

查看答案和解析>>

科目:高中数学 来源: 题型:

已知函数f(x)=1-
a
x
,g(x)=
lnx
x
,且函数f(x)在点(1,f(1))处的切线与直线x+y+3=0垂直.
(I)求a的值;
(II)如果当x∈(0,1)时,t•g(x)≤f(x)恒成立,求t的取值范围.

查看答案和解析>>

科目:高中数学 来源: 题型:

已知函数y=
1
x+1
的定义域为集合A,集合B=(-2,+∞),则集合(CRA)∩B=(  )

查看答案和解析>>

科目:高中数学 来源: 题型:

请考生注意:重点高中学生做(2)(3).一般高中学生只做(1)(2).
已知函数f(x)=(1-a)x-lnx-
a
x
-1(a∈R)

(1)若曲线y=f(x)在x=1和x=3处的切线互相平行,求a的值;
(2)当a>0时,讨论f(x)的单调性;
(3)当a=
3
4
时,设g(x)=x2-bx+1,若对任意x1∈(0,2],都存在x2∈(0,2],都存在x2∈[1,2]使f(x1)≤g(x2),求实数b的取值范围.

查看答案和解析>>

同步练习册答案