精英家教网 > 高中数学 > 题目详情
已知数列{an}的前n项和为Sn,对任意n∈N*,点(n,Sn)都在函数f(x)=2x2-x的图像上。
(1)求数列{an}的通项公式;
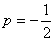
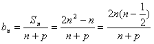
(2)设,且数列{bn}是等差数列,求非零常数p的值。

解:(1)依题意:
当n≥2时,
,满足上式,
所以,数列的通项公式为
(2)

是一个关于n的一次式,
又p为非零常数,

练习册系列答案
相关习题

科目:高中数学 来源: 题型:

19、已知数列{an}的前n项和Sn=n2(n∈N*),数列{bn}为等比数列,且满足b1=a1,2b3=b4
(1)求数列{an},{bn}的通项公式;
(2)求数列{anbn}的前n项和.

查看答案和解析>>

科目:高中数学 来源: 题型:

已知数列{an}的前n项和Sn=an2+bn(a、b∈R),且S25=100,则a12+a14等于(  )
A、16B、8C、4D、不确定

查看答案和解析>>

科目:高中数学 来源: 题型:

已知数列{an}的前n项和Sn=n2+n+1,那么它的通项公式为an=
 

查看答案和解析>>

科目:高中数学 来源: 题型:

13、已知数列{an}的前n项和为Sn=3n+a,若{an}为等比数列,则实数a的值为
-1

查看答案和解析>>

科目:高中数学 来源: 题型:

已知数列{an}的前n项和Sn满足Sn+1=kSn+2,又a1=2,a2=1.
(1)求k的值及通项公式an
(2)求Sn

查看答案和解析>>

同步练习册答案