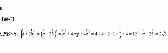
精英家教网 > 高中数学 > 题目详情

平面向量的夹角为60°,=(2,0),=1,则|+2|等于( )

A. B. C.4 D.12

练习册系列答案
相关习题

科目:高中数学 来源:2015-2016学年江苏省高一上第一次联考数学试卷(解析版) 题型:填空题

若方程有两个不同解,则实数的取值范围是

查看答案和解析>>

科目:高中数学 来源:2014-2015学年山东省高二下学期阶段性检测理科数学试卷(解析版) 题型:填空题

如果复数满足关系式,那么等于

查看答案和解析>>

科目:高中数学 来源:2014-2015学年河北省高一5月月考数学试卷(解析版) 题型:选择题

如图,在一个正方体内放入两个半径不相等的球,这两个球相外切,且球与正方体共顶点的三个面相切,球与正方体共顶点的三个面相切,则两球在正方体的面上的正投影是( )

A. B. C. D.

查看答案和解析>>

科目:高中数学 来源:2014-2015学年广东省揭阳市高一下学期第二次段考理科数学试卷(解析版) 题型:解答题

(本小题满分14分)已知函数

(Ⅰ)若函数为偶函数,求的值;

(Ⅱ)若,求函数的单调递增区间;

(Ⅲ)当时,若对任意的,不等式恒成立,求实数的取值范围.

查看答案和解析>>

科目:高中数学 来源:2014-2015学年山西省高一下期末数学试卷(解析版) 题型:选择题

已知=1,||=,且,则向量与向量的夹角为

A. B. C. D.

查看答案和解析>>

科目:高中数学 来源:2016届云南省高三适应性月考二理科数学试卷(解析版) 题型:解答题

(本小题满分一10分)【选修4一5:不等式选讲】

已知

(1)求不等式的解集;

(2)设m,n,p为正实数,且,求证:

查看答案和解析>>

科目:高中数学 来源:2016届宁夏银川一中高三上学期第三次月考文科数学试卷(解析版) 题型:解答题

(本小题满分10分)选修4—1:几何证明选讲

如图,正方形边长为2,以为圆心、为半径的圆弧与以为直径的半圆交于点,连结并延长交于点

(1)求证:

(2)求的值.

查看答案和解析>>

科目:高中数学 来源:2015-2016学年甘肃省高一上学期期中数学试卷(解析版) 题型:填空题

已知函数

查看答案和解析>>

同步练习册答案