精英家教网 > 高中数学 > 题目详情

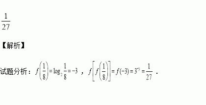
已知函数

练习册系列答案
相关习题

科目:高中数学 来源:2014-2015学年广东省揭阳市高一下学期第二次段考理科数学试卷(解析版) 题型:选择题

平面向量的夹角为60°,=(2,0),=1,则|+2|等于( )

A. B. C.4 D.12

查看答案和解析>>

科目:高中数学 来源:2016届江苏省高三上学期第二次月考理科数学试卷(解析版) 题型:解答题

如图,某广场为一半径为80米的半圆形区域,现准备在其一扇形区域内建两个圆形花坛,该扇形的圆心角为变量,其中半径较大的花坛内切于扇形,半径较小的花坛外切,且与相切.

(1)求半径较大的花坛的半径(用表示);

(2)求半径较小的花坛的半径的最大值.

查看答案和解析>>

科目:高中数学 来源:2016届湖北省、宜昌一中高三10月联考文科数学试卷(解析版) 题型:填空题

给出下列命题:

是幂函数;

⑵“”是“”的充分不必要条件;

的解集是

⑷ 函数的图象关于点成中心对称;

⑸ 命题“若,则”的逆否命题为真命题.

其中真命题的序号是 (写出所有正确命题的序号)

查看答案和解析>>

科目:高中数学 来源:2016届湖北省、宜昌一中高三10月联考理科数学试卷(解析版) 题型:填空题

是函数的极值点,则的值为

查看答案和解析>>

科目:高中数学 来源:2016届浙江省瑞安市高三上学期第一次四校联考文科数学试卷(解析版) 题型:填空题

,则的值为 ,不等式的解集为

查看答案和解析>>

科目:高中数学 来源:2015-2016学年江西省南昌市高一上学期期中考试数学试卷(解析版) 题型:选择题

已知集合M={x ∈N | 8-x∈N},则M中元素的个数是( ).

A、10 B、9 C、8 D、无数个

查看答案和解析>>

科目:高中数学 来源:2016届浙江宁波效实中学高三上期中考试理科数学试卷(解析版) 题型:填空题

已知为三角形的外心,,若,则的最小值为

查看答案和解析>>

科目:高中数学 来源:2015-2016学年四川绵阳南山中学高二上期中文科数学试卷(解析版) 题型:选择题

等比数列中,,且,则等于

A.3 B. C.4 D.

查看答案和解析>>

同步练习册答案