精英家教网 > 高中数学 > 题目详情
在平面直角坐标系中,已知焦距为4的椭圆左、右顶点分别为A、B,椭圆C的右焦点为F,
过F作一条垂直于x轴的直线与椭圆相交于R、S,若线段RS的长为
(1)求椭圆C的方程;
(2)设Q(t,m)是直线x=9上的点,直线QA、QB与椭圆C分别交于点M、N,求证:直线MN必过x轴上的一定点,并求出此定点的坐标.
【答案】分析:(1)依题意,椭圆过点,故,由此能求出椭圆C的方程.
(2)设Q(9,m),直线QA的方程为y=,代入椭圆方程,得(80+m2)x2+6x+9m2-720=0,由此入手能够证明直线MN必过x轴上的定点(1,0).
解答:解:(1)依题意,椭圆过点

解得.…(3分)
椭圆C的方程为.…(4分)
(2)设Q(9,m),直线QA的方程为y=,…(5分)
代入椭圆方程,得(80+m2)x2+6x+9m2-720=0,…(6分)
设M(x1,y1),则,…(7分)

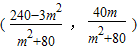
故点M的坐标为.…(8分)
同理,直线QB的方程为
代入椭圆方程,得(20+m2)x2-6x+9m2-180=0,
设N(x2,y2),


得点N的坐标为.…(10分)
①若时,
直线MN的方程为x=1,与x轴交于(1,0)点;
②若m2≠40,直线MN的方程为
令y=0,解得x=1.
综上所述,直线MN必过x轴上的定点(1,0).…(12分)
点评:本题考查椭圆方程的求法,考查直线必过某定点的证明.解题时要认真审题,仔细解答,注意直线与椭圆位置关系的灵活运用.
练习册系列答案
相关习题

科目:高中数学 来源: 题型:

在平面直角坐标系xOy中,以O为极点,x正半轴为极轴建立极坐标系,曲线C的极坐标方程为:pcos(θ-
π3
)=1
,M,N分别为曲线C与x轴,y轴的交点,则MN的中点P在平面直角坐标系中的坐标为
 

查看答案和解析>>

科目:高中数学 来源: 题型:

在平面直角坐标系中,A(3,0)、B(0,3)、C(cosθ,sinθ),θ∈(
π
2
2
)
,且|
AC
|=|
BC
|

(1)求角θ的值;
(2)设α>0,0<β<
π
2
,且α+β=
2
3
θ
,求y=2-sin2α-cos2β的最小值.

查看答案和解析>>

科目:高中数学 来源: 题型:

在平面直角坐标系中,如果x与y都是整数,就称点(x,y)为整点,下列命题中正确的是
 
(写出所有正确命题的编号).
①存在这样的直线,既不与坐标轴平行又不经过任何整点
②如果k与b都是无理数,则直线y=kx+b不经过任何整点
③直线l经过无穷多个整点,当且仅当l经过两个不同的整点
④直线y=kx+b经过无穷多个整点的充分必要条件是:k与b都是有理数
⑤存在恰经过一个整点的直线.

查看答案和解析>>

科目:高中数学 来源: 题型:

在平面直角坐标系中,下列函数图象关于原点对称的是(  )

查看答案和解析>>

科目:高中数学 来源: 题型:

在平面直角坐标系中,以点(1,0)为圆心,r为半径作圆,依次与抛物线y2=x交于A、B、C、D四点,若AC与BD的交点F恰好为抛物线的焦点,则r=
 

查看答案和解析>>

同步练习册答案