精英家教网 > 高中数学 > 题目详情
已知等比数列{an}的前n项和为Sn,a1=1,S3=13,则公比q=   
【答案】分析:设等比数列的公比为q,由首项的值,利用等比数列的求和公式表示出S3,让其值等于13列出关于q的方程,求出的解即可得到公比q的值.
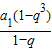
解答:解:由a1=1,设公比为q,
得到S3==13
化简得:q2+q-12=0,即(q-3)(q+4)=0,
解得:q=3或q=-4,
则公比q的值为3或-4.
故答案为:3或-4
点评:此题考查了等比数列的求和公式,熟练掌握等比数列的前n项和公式是解本题的关键.
练习册系列答案
相关习题

科目:高中数学 来源: 题型:

5、已知等比数列{an}的前n项和为Sn,公比q≠1,若S5=3a4+1,S4=2a3+1,则q等于(  )

查看答案和解析>>

科目:高中数学 来源: 题型:

已知等比数列{an}中,a2=9,a5=243.
(1)求{an}的通项公式;
(2)令bn=log3an,求数列{
1bnbn+1
}的前n项和Sn

查看答案和解析>>

科目:高中数学 来源: 题型:

已知等比数列{an}满足a1•a7=3a3a4,则数列{an}的公比q=
3
3

查看答案和解析>>

科目:高中数学 来源: 题型:

已知等比数列{an}中a1=64,公比q≠1,且a2,a3,a4分别为某等差数列的第5项,第3项,第2项.
(Ⅰ)求数列{an}的通项公式;
(Ⅱ)设bn=log2an,求数列{|bn|}的前n项和Tn

查看答案和解析>>

科目:高中数学 来源: 题型:

已知等比数列{an}中,a3+a6=36,a4+a7=18.若an=
12
,则n=
9
9

查看答案和解析>>

同步练习册答案